I get a bunch of errors telling me:
line 417: Missing { inserted. \end{proof}
line 417: Missing } inserted. \end{proof}
line 426: Missing { inserted. \end{proof}
line 426: Missing } inserted. \end{proof}
line 439: Missing { inserted. \end{proof}
line 439: Missing } inserted. \end{proof}
Some of the sample source code are:
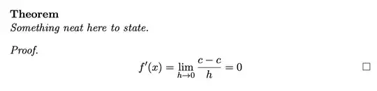
Line 417
\begin{proof}
\begin{equation*}
f'(x)=\lim_{h \to 0}\frac{c-c}{h}=0
\end{equation*}
\end{proof}
Line 426
\begin{proof}
pending
\end{proof}
Line 439
\begin{proof}
\begin{align*}
\frac{d}{dx}(cf)&=\lim_{h \to 0}\frac{cf(x+h)-cf(x)}{h} \\[0.2cm]
&= c\lim_{h \to 0}\frac{f(x+h)-f(x)}{h} \\[0.2cm]
&=c\frac{df}{dx}
\end{align*}
\end{proof}
I will put up my usepackages just in case:
\documentclass[11pt,a4paper]{article}
\usepackage[utf8]{inputenc}
\usepackage[T1]{fontenc}
\usepackage{amsmath}
\usepackage{amsfonts}
\usepackage{amssymb}
\usepackage{makeidx}
\usepackage{graphicx}
\usepackage{amsthm}
\usepackage{ntheorem}
\usepackage{proof}
\theoremstyle{break}
\newtheorem*{theorem}{Theorem}

proofwith which I'm familiar is fromamsthm. In that case, it is assumed that\begin{proof}will be followed by text, not by a display. Making the assumption that the package you are using has the same restriction, you can get around it by inserting "phony" text,$ $. After that, a display is acceptable. – barbara beeton Feb 12 '22 at 03:14