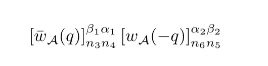
I am trying to do to write the wick contraction between w fields of the expression below.

I am using simpler-wick to do this but seems it not working. The code is given below
\documentclass{article}
\usepackage{simpler-wick}
\usepackage{amsmath}
\usepackage{amsfonts}
\usepackage{amssymb}
\begin{document}
$$
\wick{\left[\bar{\c1 w}{\mathcal{A}}(q)\right]^{\beta{1}\alpha_{1}}{n{3}n_{4}}
\left[ \c1 w_{\mathcal{A}}(-q)\right]^{\alpha_{2}\beta_{2}}{n{6}n_{5}}}
$$
\end{document}
Can anyone please help me with this? Thanks in advance.
