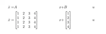
How can I center align columns in math mode using align* or one of the similar environments? I read that the columns in align environments align in the rlrlr pattern. How do I change this to a ccccc pattern?
\begin{align*}
\dot{x}=&A&x+&B&u\\
...
\end{align*}
To explore, I used the tabular environment switching from text to math mode here. The result is what I'm looking for, but it doesn't seem like the optimal method:
\begin{tabular}[7]{ccccccc}
$\dot{x}$ & $=$ & $A$ & $x$ & $+$ & $B$ & $u$\\
...
\end{tabular}
Is there a better way to achieve this?



\underbracehere instead. – mickep Feb 20 '22 at 13:27