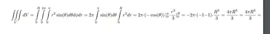
I don't know how to do it with LyX (and don't want to), but the right way to typeset that long derivation is with split:
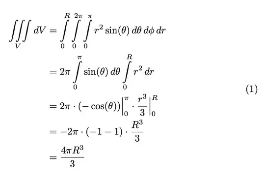
\documentclass{article}
\usepackage[intlimits]{amsmath}
\begin{document}
\begin{equation}
\begin{split}
\iiint_V dV
&= \int_{0}^{R} \int_{0}^{2\pi} \int_{0}^{\pi} r^2\sin(\theta) , d\theta , d\phi , dr \
&= 2\pi \int_{0}^{\pi} \sin(\theta) , d\theta \int_{0}^{R} r^2 , dr \
&= 2\pi \cdot (-\cos(\theta))\Big|{0}^{\pi} \cdot \frac{r^3}{3}\Big|{0}^{R} \
&= -2\pi \cdot (-1-1) \cdot \frac{R^3}{3} \
&= \frac{4\pi R^3}{3}
\end{split}
\end{equation}
\end{document}
Use equation* if you don't want an equation number. Note that I added a few improvements: \, in front of differentials and larger “evaluation at” bars.
