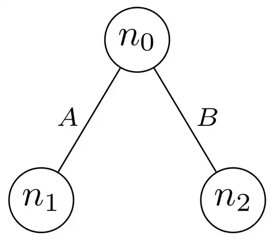
Probably you use tikz-qtree package ... unfortunately its documentation doesn't describe, how to add edge labels. But by searching on this site you can find answer on question positioning-labels-on-edges-of-tikz-qtree which can be simple adopt to your case:
\documentclass[border=3.141502]{standalone}
\usepackage{tikz}
\usepackage{tikz-qtree}
\begin{document}
\begin{tikzpicture}[every tree node/.style={draw,circle},
level distance=1.25cm,sibling distance=1cm,
edge from parent path={(\tikzparentnode) -- (\tikzchildnode)}
]
\Tree [.$n_{0}$
\edge node[left] {$A$};
[.$n_{1}$ ]
\edge node[right] {$B$};
[.$n_{2}$ ]
]
\end{tikzpicture}
\end{document}

However, there is also alternative solution with use of the
forest package. Using it adding labels to edges is relatively simple:
\documentclass[border=3.141502]{standalone}
\usepackage{forest}
\begin{document}
\begin{forest}
for tree = {
% nodes style
circle, draw, inner sep=2pt,
minimum size=1.2em,
math content,
% tree style
l sep = 9mm,
s sep = 12mm,
/tikz/ELS/.style = {% Edge Label Style
node font=\scriptsize, inner sep=1pt,
pos=0.6, anchor=south #1},
EL/.style={if n=1{edge label={node[ELS=east]{$#1$}}}
{edge label={node[ELS=west]{$#1$}}}}
}
[n_{0}
[n_{1}, EL=A]
[n_{2}, EL=B]
]
\end{forest}
\end{document}
