I'm trying to write an equation for a report but for some reason one term in brackets is not rendering.
\documentclass[a4paper]{article}
\usepackage[margin=2cm]{geometry}
\usepackage{float}
\usepackage{gensymb}
\usepackage{amsmath}
\usepackage{amssymb}
\usepackage{wasysym}
\usepackage{physics}
\begin{document}{
\twocolumn
\section{Theoretical background}
\subsection{Domain wall oscillation}
...
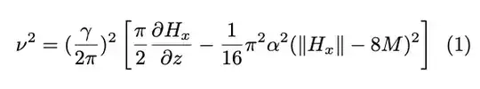
\begin{equation}
\nu^{2} = (\frac{\gamma}{2\pi})^{2} \left[ \frac{\pi}{2} \pdv{H_x}{z} (\|H_x\|-8M) - \frac{1}{16}\pi^{2}\alpha^{2}(\|H_x\|-8M)^{2} \right]
\end{equation}
\printbibliography
\end{document}
Here's my output
The first (\|H_x\|-8M) term is just being completely omitted for some reason, and I'm not sure why. It's a 2 column document, if that's relevant. I'm using TeXShop v 4.69 on MacOS.
The error log also doesn't seem to mention anything about it. This is line 110 of the document, and here's the log for the neighbouring lines.
l.77 \twocolumn
[ [1]
Overfull \hbox (12.18076pt too wide) in paragraph at lines 99--99
[]\OT1/cmr/bx/n/12 Magnetic do-mains and do-main walls
LaTeX Font Warning: Font shape U/wasy/b/n' in size <7> not available (Font) Font shapeU/wasy/m/n' tried instead on input line 100.
LaTeX Font Warning: Font shape U/wasy/b/n' in size <5> not available (Font) Font shapeU/wasy/m/n' tried instead on input line 100.
Overfull \hbox (3.87979pt too wide) in paragraph at lines 105--106
\OT1/cmr/m/n/10 mass per unit area $\OML/cmm/m/it/10 m[] \OT1/cmr/m/n/10 = (2\O
ML/cmm/m/it/10 ^^Y^^M[]\OT1/cmr/m/n/10 ^^A)[] = (2\OML/cmm/m/it/10 ^^YE[]\OT1/c
mr/m/n/10 )[][]$
[2]
Overfull \hbox (1.25798pt too wide) in paragraph at lines 131--132
\OT1/cmr/m/n/10 age do-main wall mo-tion at 10 MHz fre-quen-cies. Scan-
Overfull \hbox (7.46165pt too wide) in paragraph at lines 133--134
[]\OT1/cmr/m/n/10 Spin-polarised low-energy elec-tron mi-croscopy (SP-
Overfull \hbox (0.54503pt too wide) in paragraph at lines 133--134
\OT1/cmr/m/n/10 com-plex and re-quires ex-pen-sive equip-ment, magneto-
[3]
Overfull \hbox (7.07283pt too wide) in paragraph at lines 143--144
\OT1/cmr/m/n/10 of De Leeuw and Robert-son from 1975 [[]16[]] but adapted
Overfull \hbox (4.96864pt too wide) in paragraph at lines 148--149
\OT1/cmr/m/n/10 The sam-ple it-self is mounted to a lin-ear $\OML/cmm/m/it/10 z
$\OT1/cmr/m/n/10 -translational
Thanks!

\pdv{H_x}{z]. Is that brace/bracket pair intended? – mickep Mar 20 '22 at 09:46\pdv{H_x}{z}and it still gives the error – Ayush Agrawal Mar 20 '22 at 09:55\pdvdefined? – Mico Mar 20 '22 at 10:01physics. It seems full of bell and whistles, but it does so at the expense of a consistent syntax and several other issues. – egreg Mar 20 '22 at 10:06\newcommand{\pdv}[2]{\frac{\partial #1}{\partial #2}}, for instance. Anyway, see the duplicate question. – egreg Mar 20 '22 at 10:11