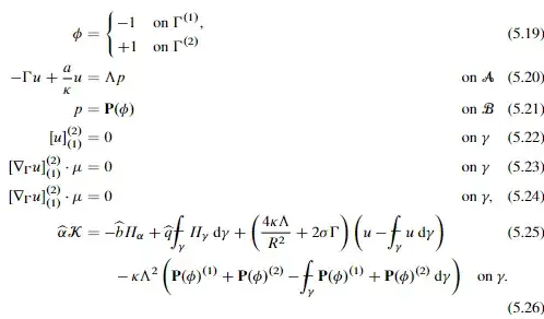
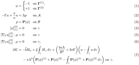
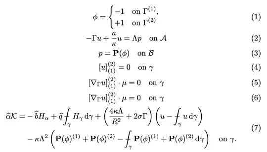
I want the middle 5 equations to be aligned at the = and at the 'on'. I tried to use alignat environment for this, but unfortunately it won't work at all. The 'on...' parts keep going beyond the right margin, and I'm not sure why. I want to keep the bottom equation 'separate', so that it doesn't need to be aligned in two places with the rest of the equations, only at the = (due to its length). Below is the code I have tried which I need to fix, and a picture of it when compiled. 
\begin{alignat}{2}
\phi &= \begin{cases}
-1 & \text{on }\textbf{$\Gamma$}^{(1)}, \\
+1 & \text{on }\textbf{$\Gamma$}^{(2)}
\end{cases}
\\
-\Gamma u+\frac{a}{\kappa}u&=\Lambda p &&\text{on }\mathcal{A}
\\
p&=\mathbf{P}(\phi) &&\text{on }\mathcal{B}
\\
[u]^{(2)}_{(1)}&=0 &&\text{on }\gamma
\\
[\nabla_\Gamma u]^{(2)}_{(1)}\cdot\mu&=0 &&\text{on }\gamma
\\
[\nabla_\Gamma u]^{(2)}_{(1)}\cdot\mu&=0 &&\text{on }\gamma,\\
\widehat{\alpha}\mathcal{K}&=-\widehat{b}H_\alpha+\widehat{q}\dashint_\gamma H_\gamma\:{\textrm d}\gamma+\left(\frac{4\kappa\Lambda}{R^2}+2\sigma\Gamma\right)\left(u-\dashint_\gamma u\:{\textrm d}\gamma\right) \\
&\qquad-\kappa\Lambda^2\left(\mathbf{P}(\phi)^{(1)}+\mathbf{P}(\phi)^{(2)}-\dashint_\gamma \mathbf{P}(\phi)^{(1)}+\mathbf{P}(\phi)^{(2)}\:{\textrm d}\gamma\right)
&&\quad\text{on }\gamma.
\end{alignat}
I want the 'on..'s to be at least closer to the rest of the equations, not so far over to the right of the page. Does anyone know how to fix this? I'm guessing its leaving that gap because of the last equation, but I am not sure how to fix this.

