7

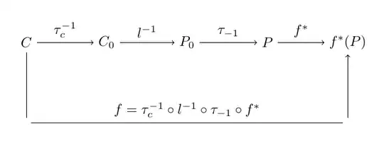
I'm trying to make a typical composing-function diagram and I've saw a few posts, but I cannot make it yet as I'd like. In this picture I show what I attempt to make enter image description here

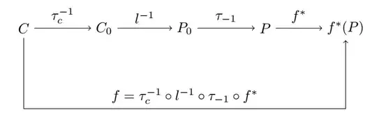
But the most I got is

enter image description here

As you can see, I used empty nodes for the broken line, but not exactly worthy. I leave my code here so you can help me with its edition. I must confess I'm basic user in Latex and 100% newbie in Tikz, so any guide you use is welcome.

\documentclass{article}

\usepackage{amsmath} \usepackage{tikz} \begin{document}

\begin{tikzpicture}[node distance=2cm, auto] \node(1) {$C$}; \node(2) [right of=1] {$C_{0}$}; \node(3) [right of=2] {$P_{0}$}; \node(4) [right of=3] {$P$}; \node(5) [right of=4] {$f^{}(P)$}; \node(11) [below of=1] {}; \node(15) [below of=5] {}; \draw-> to node {$\tau_{c}^{-1}$}(2); \draw-> to node {$l^{-1}$}(3); \draw-> to node {$\tau_{-1}$}(4); \draw-> to node {$f^{}$}(5); \draw- to node {}(11); \draw-> to node {}(5); \draw- to node {$f = \tau_{c}^{-1} \circ l^{-1} \circ \tau_{-1} \circ f^{*}$}(15);

\end{tikzpicture}

\end{document}

Thanks

Suiron
  • 119
  • 7

3 Answers3

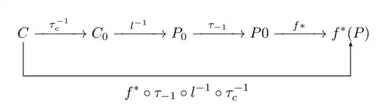
7

You were almost at it.

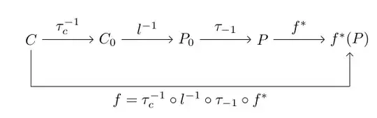
First version with too much vertical space: pic

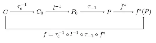
Second one with reduced vertical space: V2

You can adjust everything by paying attention to the code. The important part is --++(0,-1) here which draws a vertical line of 1cm length.

\documentclass{article}

\usepackage{amsmath} \usepackage{tikz} \begin{document}

\begin{tikzpicture}[node distance=2cm, auto] \node(1) {$C$}; \node(2) [right of=1] {$C_{0}$}; \node(3) [right of=2] {$P_{0}$}; \node(4) [right of=3] {$P$}; \node(5) [right of=4] {$f^{}(P)$}; \node(11) [below of=1] {}; \node(15) [below of=5] {}; \draw-> to node {$\tau_{c}^{-1}$}(2); \draw-> to node {$l^{-1}$}(3); \draw-> to node {$\tau_{-1}$}(4); \draw-> to node {$f^{}$}(5);

% \draw[->] (1) --++ (0,-2) -| node[pos=0.25] {$f = \tau_{c}^{-1} \circ l^{-1} \circ \tau_{-1} \circ f^{*}$} (5); %(old version)

\draw[->] (1) --++ (0,-1) -| node[pos=0.25,below] {$f = \tau_{c}^{-1} \circ l^{-1} \circ \tau_{-1} \circ f^{*}$} (5);

\end{tikzpicture}

\end{document}

SebGlav
  • 19,186
  • That's close indeed! How can I make the vertical lines shorter? There's too much empty space at my diagram. And how to make the composition label to appear below the line? – Suiron Mar 25 '22 at 19:00
  • I'll edit my answer as requested. – SebGlav Mar 25 '22 at 19:01
  • 3
    Thanks you both. Once you have a comand (or optional arguments for it), making little changes on it helps a lot to see how it works. – Suiron Mar 25 '22 at 19:09
6

Alternative possibility where are employ tikz libraries arrows.meta (for arrows), chains (for make chain of nodes), positioning (for distances between nodes) and quotes )for edge lables):

\documentclass{article}
\usepackage{tikz}
\usetikzlibrary{arrows.meta, 
                chains,
                positioning,
                quotes}

\begin{document} \begin{tikzpicture}[auto, node distance = 8mm and 12mm, start chain = A going right, every edge/.style = {draw, -Straight Barb} ] \foreach \i in {C, C_0, P_0, P, f^{}(P)} \node[on chain=A] {$\i$}; \coordinate[below=of A-5] (A-6); \draw (A-1) edge["$\tau_{c}^{-1}$"] (A-2) (A-2) edge["$l^{-1}$"] (A-3) (A-3) edge["$\tau_{-1}$"] (A-4) (A-4) edge["$f^{}$"] (A-5) (A-1) |- (A-6) node[pos=0.75, below] {$f = \tau_{c}^{-1} \circ l^{-1} \circ \tau_{-1} \circ f^{*}$} (A-6) edge (A-5); \end{tikzpicture} \end{document}

enter image description here

Zarko
  • 296,517
4

The code is quite short with a normal displaymath environment, using \xrightarrow and pstricks(more precisely with pst-node):

\documentclass{article}
\usepackage{amsmath}
\usepackage{pst-node}

\begin{document}

[ \rnode{C}{C} \xrightarrow[\rule{3em}{0pt}]{\tau_c^{-1}} C_0 \xrightarrow[\rule{3em}{0pt}]{l^{-1}}P_0 \xrightarrow[\rule{3em}{0pt}]{\tau_{-1}}P 0\xrightarrow[\rule{3em}{0pt}]{f}\rnode{F}{f^(P)} \psset{linewidth=0.5pt, angle = -90, arm=0.8cm, arrowinset=0.15, nodesepA=3pt, linejoin=1} \ncbar{->}{C}{F} \nbput{f^*\circ \tau_{-1}\circ l^{-1}\circ \tau_c^{-1}} ]%

\end{document}

enter image description here

Bernard
  • 271,350
  • Yeap, I thought at \xrightarrow at first, but as I had no idea to manage the large line, I start to search info and tought it would be easier with just one enviroment than mixing them.

    But it's a nice approach anyway and can be useful in the future.

    – Suiron Mar 25 '22 at 21:59
  • Thank you for your kind comment. The advantage of pstricks is that it can be used without any problem within math environments. – Bernard Mar 25 '22 at 22:24