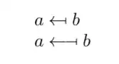
Logically speaking, since \mapsto and \longmapsto are available, so are their reflections.
Typographically speaking, this can be done via low-level PDF code. Conveniently, the graphics package has already done all the heavy-lifting, wrapping a great many lines of code into one time-saving easy-to-use command: \reflectbox{...}.
So, without requiring a special font, thus:

Simple tasks can be done in plain more or less straightforwardly, but wrapper-functions and concomitant complexity start evolving out of the code fairly quickly.
"Shoulders of giants", and all that.
MWE
\documentclass{article}
\usepackage{graphicx}
\begin{document}
uiop $\mapsto$ \reflectbox{uiop}
uiop \reflectbox{$\mapsto$} \reflectbox{uiop}
\bigskip
qwerty $\longmapsto$ \reflectbox{qwerty}
qwerty \reflectbox{$\longmapsto$} \reflectbox{qwerty}
\end{document}
Addendum
Based on the engine-independent solution at Scale text (\scalebox) in Plain TeX/XeTeX to make it narrower, a plain version (pdftex, xetex, luatex) is:
MWE
\input graphicx.tex
uiop $\mapsto$ \reflectbox{uiop}
\par uiop \reflectbox{$\mapsto$} \reflectbox{uiop}
\par\bigskip
qwerty $\longmapsto$ \reflectbox{qwerty}
\par qwerty \reflectbox{$\longmapsto$} \reflectbox{qwerty}
\bye

The linked question also gives a driver-specific version (graphics.sty plus dvipdfmx.def), manually coding up \Gscale@start and \Gscale@end (which insert the PDF literals), so that an input is not required.
For reference, here is a pdftex plain version of reflect, using its \pdf... primitives:

MWE
pdftex
\protected\def\rbox#1{%
\setbox0\hbox{{#1}}%
\setbox2\hbox{%
\pdfsave%
\pdfsetmatrix{-1 0 0 1}\rlap{\copy0}\pdfrestore}%
\hbox to --1\wd0{\kern--1\wd0\box2\hss}%
}
\rbox{abc $\mapsto $ xyz}
Text text text, $abc\mathbin{\rbox{$\mapsto$}} xyz$, text text text.
\bye
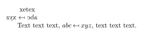
Xetex/Luatex:

MWE
xetex
\protected\def\rbox#1{%
\setbox0\hbox{{#1}}%
\setbox2\hbox{%
\special{pdf:literal q}%
\special{pdf:literal -1 0 0 1 0 0 cm}\rlap{\copy0}
\special{pdf:literal Q}}%
\hbox to --1\wd0{\kern--1\wd0\box2\hss}%
}
\rbox{abc $\mapsto $ xyz}
Text text text, $abc\mathbin{\rbox{ $\mapsto$}}xyz$, text text text.
% note the space: >>\rbox{ $<<
\bye