Essentially the title says it all.
The TeX linter ChkTeX recommends to group parentheses if sub-/superscripting. It makes the grouped content into an atom (my TeX knowledge is minimal), so it is handled differently by the engine.
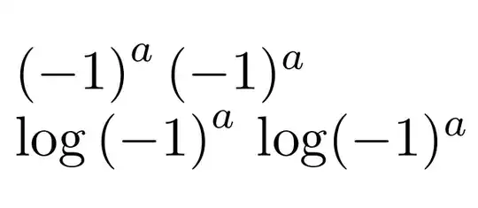
The difference is, that with grouping, the exponent is higher then normal. But I don't know if this is good practice, since something like
{(-1)}^a \, n^a
looks out of line, the exponent for (-1) is higher than that of n.
