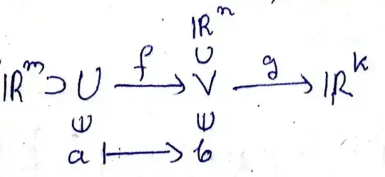
Please tell me how can I write this in LaTeX. I tried to do with array and \underset but was not satisfying

Asked
Active
Viewed 76 times
0
Bernard
- 271,350
Soham Chatterjee
- 191
1 Answers
3
You can use tikz-cd supplemented with the lovely answer by LaRiFaRi and a couple of small tricks.
- The spacing between first and second column is reduced.
- The superscript to
\mathbb{R}at the top has been given zero width, so the balancing is better.
\documentclass{article}
\usepackage{amsmath}
\usepackage{mathtools}
\usepackage{amssymb}
\usepackage{tikz-cd}
% from https://tex.stackexchange.com/a/216042/4427
\tikzset{
symbol/.style={
draw=none,
every to/.append style={
edge node={node [sloped, allow upside down, auto=false]{$#1$}}}
}
}
\begin{document}
[
\begin{tikzcd}[row sep=small]
&[-1.5em] & \mathbb{R}^{\mathrlap{n}} \
\mathbb{R}^m \arrow[r,symbol={\supset}] &
U \arrow[r,"f"] &
V \arrow[r,"g"] \arrow[u,symbol={\subset}]&
\mathbb{R}^k \
& a \arrow[u,symbol={\in}] \arrow[r,mapsto] & b \arrow[u,symbol={\in}]
\end{tikzcd}
]
\end{document}
egreg
- 1,121,712
