I would like to create the following kind of vertex in my graph:
- Circular node
- One label inside (similar to vstyle = Normal)
- One label out and under (similar to Welsh)
It seems that it isn't a builtin option for that and I have also found some related questions (see here and here).
The problem is both answers do that for every vertex (and also I don't get the matrix part in the second question) but I would like my graph to look like a directed normal with only a few nodes being doubly labeled.
I would also like to add that I am not set on using tikz-graph but from my search it looked liked a good place to start.
Thanks
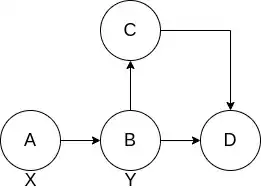
EDIT 1: Here's an example of what I want (please ignore the funny looking C-D edge)
emphasized text All the vertices have a label center inside but A and B have one more outside label.
EDIT 2: Based on @Zarko's comments I add a try which fixes the nodes but breaks the edges
\documentclass{article}
\usepackage{tkz-graph}
\begin{document}
\begin{figure}
\centering
\begin{tikzpicture}
\node[circle, draw, label=below:X] at (0,0){A};
\node[circle, draw, label=below:Y] at (1,0){B};
\Vertex[x=1,y=1]{C}
\Vertex[x=2,y=0]{D}
\tikzstyle{LabelStyle}=[sloped]
\tikzstyle{EdgeStyle}=[post]
\Edge(C)(D)
\end{tikzpicture}
\end{figure}
\end{document}


\node[circle, draw, fill=<color>, label=above:<label>] at (<coordinate>) {<node content>);if node is circle. – Zarko Apr 01 '22 at 10:11