1

What i try to make work is effectively combining this question: Prevent line break before equation environment in enumerated list item(to have the equation on the same line as the label) with this question: How can I use an align environment flush left? (Have the equation all the way on the left).

This turns out to be not as easy as combining the solutions. I have a MWE here:

\documentclass[11pt, a4paper]{scrartcl}
\usepackage{enumitem}
\usepackage{mathtools}

\begin{document} \begin{enumerate}[label=\alph)] \item \mbox{} \vspace{-\baselineskip} [\begin{alignedat}{2} \frac{1 - j}{1 + 2j} + \frac{1 + 3j}{1 - 2j} &= -\frac{6}{5} + \frac{2}{5} j \end{alignedat} ] \item \mbox{} \vspace{-\baselineskip} \begin{flalign} \frac{1 - j}{1 + 2j} + \frac{1 + 3j}{1 - 2j} &= -\frac{6}{5} + \frac{2}{5} j & \end{flalign*} \end{enumerate} \end{document}

The original equation is longer which is why there are still & delimiters at the = sign.

The problem here is now that for whatever reason the flalign* environment ist not in line with the item label even though it has the same \vspace*{-\baselineskip} in front. Does flalign* add more vertical space than the normal equation* environment and if yes how much is it exactly?

  • For single -line equations, why do you use alignedat or flalign*? – Bernard Apr 01 '22 at 11:26
  • @Bernard Because the whole equation is around 3 to 4 times longer than the MWE there and is running off the right page side otherwise – AcademicCoder Apr 01 '22 at 12:34
  • I see, You could simply use $\displaystyle\begin{aligned}… \end{aligned}. Another possibility would be to use thefleqnenvironment fromnccmathand make the list by hand, like this:\beginfleqn}\begin{align}&a)&……\end{align}{\end{fleqn}`. – Bernard Apr 01 '22 at 12:48
  • Unfortunately both of those ideas didn't work for me. $\displaystyle\begin{aligned}… \end{aligned} vertically centered the whole equation to the label instead of having the first line aligned to it. The nccmath idea produced the same output as flalign* idea. – AcademicCoder Apr 01 '22 at 13:20
  • But while checking the documentation of nccmath i stumbled upon the \abovedisplayskip and \abovedisplayshortskip and it looks like flalign* adds a \abovedisplayskip before the equation. Adding \vspace*{-\abovedisplayskip} to the flalign* idea it works. – AcademicCoder Apr 01 '22 at 13:22

1 Answers1

2

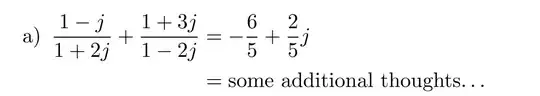
Following up on @Bernard's earlier suggestion: To get the first row of a multi-row aligned environment aligned [pun intended] with the external marker, just use the optional [t] positioning specifier, as in $\begin{aligned}[t] ... \end{aligned}$.

enter image description here

\documentclass[11pt, a4paper]{scrartcl}
\usepackage{enumitem}
\usepackage{mathtools}
\begin{document}
\begin{enumerate}[label=\alph*)]
    \item $\begin{aligned}[t]
              \frac{1 - j}{1 + 2j} + \frac{1 + 3j}{1 - 2j} 
                 &= -\frac{6}{5} + \frac{2}{5} j \\ 
                 &= \text{some additional thoughts\dots}
           \end{aligned}$
\end{enumerate}
\end{document}
Mico
  • 506,678