How to get a curly brace of given length? (e.g: 100px)
The following works but it is obviously not the best solution:
\begin{cases}
\\
\\
\\
\\
\\
\\
\\
\end{cases}
How to get a curly brace of given length? (e.g: 100px)
The following works but it is obviously not the best solution:
\begin{cases}
\\
\\
\\
\\
\\
\\
\\
\end{cases}
By mirroring how \Big and similar existing LaTeX commands are defined:
\documentclass{article}
\begin{document}
[
\left{\vbox to 100pt{}\right.
]
\end{document}
Output is as you expect.
Here are two macros that take a length as an argument. Note that these are not "paired" in the sense that you can use \biggglB without a matching \bigggrB.
\documentclass{article}
\usepackage{amsmath}
\newcommand{\biggglB}[1]{\left{!\parbox{0pt}{\rule{0pt}{#1}}\right.}
\newcommand{\bigggrB}[1]{\left.\parbox{0pt}{\rule{0pt}{#1}}!\right}}
\begin{document}
[
\biggglB{70pt}ABC\bigggrB{50pt}\Biggl{ABC\Biggr}{ABC}
]
\end{document}
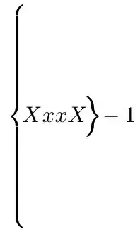
Maybe something like this??
\documentclass{article}
\usepackage{rotating}
\newcommand\leftbrace[1]{\mathopen {\raisebox{+2pt}{%
\,\rotatebox[origin=c]{-90}{\hbox to #1{\upbracefill}}\,}}}
\newcommand\rightbrace[1]{\mathclose{\raisebox{-2pt}{%
\,\rotatebox[origin=c]{+90}{\hbox to #1{\upbracefill}}\,}}}
\begin{document}
$\leftbrace{100pt}XxxX\rightbrace{10pt}-1$
\end{document}