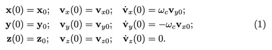
I am trying to write some aligned equations, but a get a big gap in the result. Here is my example:
\usepackage{amsmath}
\begin{document}
\begin{align}
\mathbf{x}(0)&=\mathbf{x}_0; && \mathbf{v}_x(0) &=\mathbf{v}_{x0}; && \dot{\mathbf{v}}_x(0)&=\omega_c\mathbf{v}_{y0}; \\
\mathbf{y}(0)&=\mathbf{y}_0; && \mathbf{v}_y(0) &=\mathbf{v}_{y0}; && \dot{\mathbf{v}}_y(0)&=-\omega_c\mathbf{v}_{x0}; \\
\mathbf{z}(0)&=\mathbf{z}_0; && \mathbf{v}_z(0) &=\mathbf{v}_{z0}; && \dot{\mathbf{v}}_z(0)&=0.
\label{eq1}
\end{align}
\end{document}
And this is the output:
How can I get rid of the space in the second row?



&&, use just&– Phelype Oleinik Apr 03 '22 at 16:22