I've ever encountered such question too (see the link). In my opinion, it's not a good idea to use the tikz package to solve the question. I found an elegant way to change the large brace and parenthesis only, that is to invoke such largesymbols from the other font file which is already existed in the TeX system. The codes are as follows:
\documentclass{article}
\usepackage{amsmath}
\usepackage{amssymb}
\usepackage{esvect}
\usepackage{nicematrix}
\usepackage{anyfontsize}
\usepackage[inline]{asymptote}
\usepackage{changepage}
\usepackage{color}
\usepackage{enumitem}
\usepackage{fancyhdr}
\usepackage{framed}
\usepackage{geometry}
\usepackage{graphicx}
\usepackage{helvet}
\usepackage{marginnote}
\usepackage{newtxtext}
\usepackage[upint]{newtxmath}
\usepackage{multicol}
\usepackage{multirow}
\usepackage{pgffor}
\usepackage{setspace}
\usepackage{tikz}
\usepackage{totalcount}
\usepackage{accents}
\makeatletter
\DeclareSymbolFont{mylargesymbols}{OMX}{ccex}{m}{n}%
%change the thickness of large left and right braces
\DeclareMathDelimiter{\lbrace}{\mathopen}{symbols}{"66}{mylargesymbols}{"08}
\DeclareMathDelimiter{\rbrace}{\mathclose}{symbols}{"67}{mylargesymbols}{"09}
%change the thickness of large left and right parenthesis
\DeclareMathDelimiter{(}{\mathopen}{operators}{"28}{mylargesymbols}{"00}
\DeclareMathDelimiter{)}{\mathclose}{operators}{"29}{mylargesymbols}{"01}
%change the thickness of large left and right brakets
\DeclareMathDelimiter{[}{\mathopen}{operators}{"5B}{mylargesymbols}{"02}
\DeclareMathDelimiter{]}{\mathclose}{operators}{"5D}{mylargesymbols}{"03}
%change the thickness of large above and under braces
\DeclareMathSymbol{\braceld}{\mathord}{mylargesymbols}{"7A}
\DeclareMathSymbol{\bracerd}{\mathord}{mylargesymbols}{"7B}
\DeclareMathSymbol{\bracelu}{\mathord}{mylargesymbols}{"7C}
\DeclareMathSymbol{\braceru}{\mathord}{mylargesymbols}{"7D}
%change the thickness of large left and right groups
\DeclareMathDelimiter{\lgroup}{\mathopen}{mylargesymbols}{"3A}{largesymbols}{"3A}
\DeclareMathDelimiter{\rgroup}{\mathclose}{mylargesymbols}{"3B}{largesymbols}{"3B}
%change the thickness of large left and right braceverts
\DeclareMathDelimiter{\bracevert}{\mathord}{mylargesymbols}{"3E}{largesymbols}{"3E}
\makeatother
\begin{document}
\huge
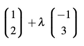
[\left\lgroup\begin{matrix} 1 \2 \end{matrix}\right\rgroup+\lambda\left\lgroup\begin{matrix} -1 \3 \end{matrix}\right\rgroup]
We have
[
f(x)=
\begin{cases}
2x^{2018}+9&x<2018;\
3x+2018&x\geq 2018.
\end{cases}
]
And we also have
[
\left(\left{
\begin{array}{cc}
x &m \
y &n \
x &m \
y &n
\end{array}
\right}\right)
]
and
[k\leq \langle \underbrace{a,\cdots,a,b,\cdots,b}_{a+b~\text{many}}\rangle.]
We don't change the thickness of any other large symbols, for example
[\sum^x_yx+y=\prod_y^x xy.]
\end{document}
And the output is as follows.

You can also use the other large symbol font codes instead of ccex as you wish, for example, the line weight produced by llcmex is smaller than that produced by ccex.
By the way, please give a minimal working sample next time when you ask a question.
nicematrix, wherepNiceArrayhas that shape. – Teddy van Jerry Apr 08 '22 at 11:53\lgroup? that is specifically to get straighter bolder brackets. remove the\left\rightand use\begin{pmatrix}to get standard () – David Carlisle Apr 08 '22 at 11:53