I'm typesetting a book where the author uses groups of aligned equations as items of an enumerate list, like this:
together with other items of the enumerate list, which are not formulas. Would it be possible to describe a variant of the align* environment which, when used in an enumerate list, would be vertically aligned with number of the item?
Ideally something like this:
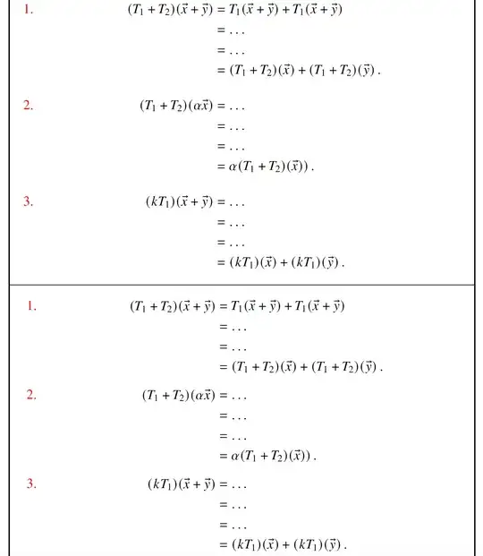
\begin{enumerate}
\item\begin{align*}(T_1+T_2)(\vec{x}+\vec{y})&=T_1(\vec{x}+\vec{y})+T_2(\vec{x}+\vec{y})\\
&=T_1(\vec{x})+T_1(\vec{y})+T_2(\vec{x})+T_2(\vec{y})\\
etc.
\end{align*}
\item\begin{align*}(T_1+T_2)(\alpha\vec{x})&=etc.
\end{align*}
\item …
\item as well as other entries that are not formulas…
\end{enumerate}
And also, if possible, to retain horizontal alignment throughout \item commands? By using, for example, \item inside \intertext, or by having a special command \interitem that would play the role of \item without leaving the align environment?
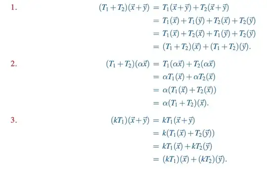
Ideally something like this:
\begin{enumerate}
\item\begin{align*}(T_1+T_2)(\vec{x}+\vec{y})&=T_1(\vec{x}+\vec{y})+T_2(\vec{x}+\vec{y})\\
&=T_1(\vec{x})+T_1(\vec{y})+T_2(\vec{x})+T_2(\vec{y})\\
etc.
\interitem(T_1+T_2)(\alpha\vec{x})&=etc.
\interitem …
\end{align*}
\item as well as other entries that are not formulas…
\end{enumerate}

align*inenumerateand Equations insideenumeratealigned on item's number – barbara beeton Apr 10 '22 at 21:01\itemwithin\shortintertext(withmathtools: Aligning equations, splitted in an enumeration – barbara beeton Apr 10 '22 at 21:57