I want to align the bullet to the equation but for some reason the equation renders a line underneath the bullet. Here is my code
\begin{itemize}
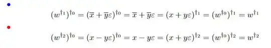
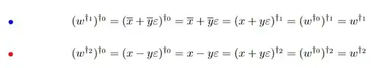
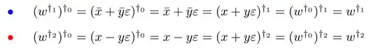
\item[\textcolor{blue}{\textbullet}]
\begin{equation*}%blue
(w^{\dagger_1})^{\dagger_0} = (\overline{x}+\overline{y}\varepsilon)^{\dagger_0} = \overline{x}+\overline{y}\varepsilon = (x+y\varepsilon)^{\dagger_1} = (w^{\dagger_0})^{\dagger_1} = w^{\dagger_1}
\end{equation*}
\item[\textcolor{red}{\textbullet}]
\begin{equation*}%red
(w^{\dagger_2})^{\dagger_0} = (x-y\varepsilon)^{\dagger_0} = x-y\varepsilon = (x+y\varepsilon)^{\dagger_2} = (w^{\dagger_0})^{\dagger_2} = w^{\dagger_2}
\end{equation*}
\end{itemize}




enumeratealigned on item's number – barbara beeton Apr 24 '22 at 12:27