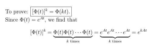
In writing a control proof, I need to type "k times" below the two products as shown in the code below. How can I do it?
\documentclass[12pt]{article}
\usepackage{amsmath}
\begin{document}
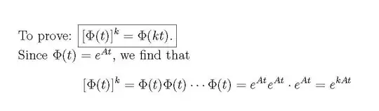
To prove: $\boxed{ [ \Phi(t) ]^k = \Phi(k t). }$
Since $\Phi(t) = e^{A t}$, we find that
$$
[ \Phi(t) ]^k = \Phi(t) \Phi(t) \cdots \Phi(t) = e^{A t} e^{A t} \cdot e^{A t} = e^{k A t}
$$
\end{document}

