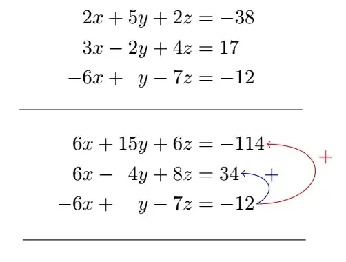
I want to indicate that, in the 2nd set of equations, we are adding 3rd equation to 1st and 2nd with arrow, for example.
I tried with 'WithArrows' but couldn't get it to work. Then I tried doing tikzpicture in equation (and equation in tikzpicture) but set of equations couldn't be centered (I tried with \centering and \begin{center}).
Then I used \node but it didn't work inside of \systeme. Lastly, I used tikzmark and this is closest I got. I drew arrows but couldn't position it next to the system.
\documentclass{article}
\usepackage{tikz}
\usetikzlibrary{calc}
\usepackage{amssymb,amsthm,amsmath}
\usepackage{systeme}
\usetikzlibrary{arrows}
\newcommand{\tikzmark}[1]{%
\tikz[overlay, remember picture, baseline] \node (#1) {};%
}
\begin{document}
\begin{equation*}
\sysdelim..\systeme{
2x + 5y + 2z = - 38,
3x - 2y + 4z = 17,
- 6x + y - 7z = - 12
}
\end{equation}
\begin{center}
\rule{5cm}{0.4pt}
\begin{equation}
\sysdelim..\systeme{
6x+15y+6z=-114 \tikzmark {3},
6x-4y+8z=34 \tikzmark {2},
-6x+y-7z=-12 \tikzmark {1}
}
\end{equation*}
\begin{tikzpicture}
\draw[->] ({2}) arc (-90:90:.5cm and 1cm) node[anchor=west]{$+$};
\draw[->] ({2}) arc (-90:90:.25cm and 0.5cm) node[anchor=west]{$+$};
\end{tikzpicture}
\rule{5cm}{0.4pt}
\end{center}
\end{document}
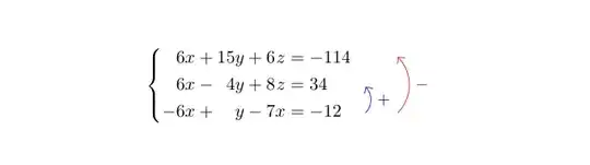
Instead of arcs I also tried:
\draw[->] ({1}.east) .. controls +(right:7mm) and +(right:7mm) .. ({3}.east);
\draw[->] ({1}.east) .. controls +(right:3mm) and +(right:5mm) .. ({2}.east);
But same issue occurs.



\documentclass{...}and ending with\end{document}. Now to give you a start, have a look to thetikzmarklibrary which allows you to draw onto your equations. – SebGlav May 05 '22 at 10:32