Your symbol is a bit complicated. Since I know of no standard symbol, I suggest this:

which is formed by overlaying two standard symbols (\asymp and -) and requires no additional packages. It looks (to me) like a hyperbolic version of \equiv (≡).
\documentclass{article}
\newcommand{\samehyp}{\mathrel{\ooalign{\hfil$\asymp$\hfil\cr\hfil$-$\hfil\cr}}}
\begin{document}
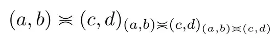
$(a,b)\samehyp(c,d)$
\end{document}
For general instructions on how to build your own symbols, I suggest this question and its answers.
Note: If you plan to use this symbol in \scriptstyle or \scriptscriptstyle you will need a more complicated version that will adapt to style changes:

\documentclass{article}
%\newcommand{\samehyp}{\mathrel{\ooalign{\hfil$\asymp$\hfil\cr\hfil$-$\hfil\cr}}}
\makeatletter
\newcommand{\samehyp}{\mathrel{\mathpalette\s@mehyp\relax}}
\newcommand{\s@mehyp}[2]{%
\ooalign{%
$\m@th#1\asymp$\cr
\hidewidth$\m@th#1-$\hidewidth\cr
}%
}
\makeatother
\begin{document}
$(a,b)\samehyp(c,d){(a,b)\samehyp(c,d){(a,b)\samehyp(c,d)}}$
\end{document}
If you really want the symbol you sketched, you'll probably have to design it yourself. I suggest tikz (for designing the symbol) and scalerel to make it the same size as a symbol of your choice (I picked +).

\documentclass{article}
\usepackage{tikz,scalerel}
\newcommand{\samehyp}{\mathrel{\scalerel*{\tikz{\drawline width=2pt--(1,.3)(0,.5)--(1,.5)(0,.7)--(1,.7)(.6,1)toout=-90,in=180(.4,0)toout=90,in=0;}}{+}}}
\begin{document}
$(a,b)\samehyp(c,d)$
\end{document}
\asympand-has the advantage of simplicity and readability. The code given works nicely when standalone, but for some reason fails in my ams context. A workaround for me was to use the\makeatletter…\makeatotherfound there then\newcommand{\samehyp}{\charfusion[\mathbin]{\asymp}{-}}– fgrieu May 10 '22 at 21:19