I know this question is already asked. I wanted to use an arrow as the canceling arrow with a zero near the arrow head as follows.
Asked
Active
Viewed 346 times
1 Answers
1
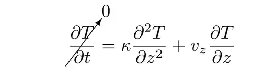
The package cancel also provides a command \cancelto{<value>}{<expression>} that adds an arrow over <expression>, pointing to <value>.
\documentclass{article}
\usepackage{amsmath}
\usepackage{cancel}
\begin{document}
\[
\cancelto{0}{\frac{\partial T}{\partial t}} = \kappa \frac{\partial^2 T}{\partial z^2} + v_z \frac{\partial T}{\partial z}
\]
\end{document}
Vincent
- 20,157


cancelpackage has some drawbacks because of its use of the picture environment (which can only draw lines at certain slopes). See this question and its answer for more information and a solution usingtikz. – Sandy G May 10 '22 at 18:18