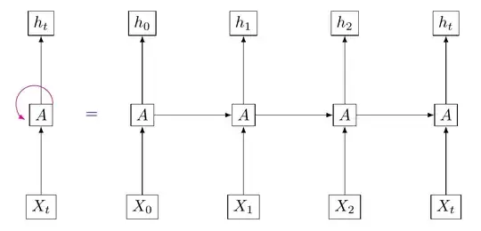
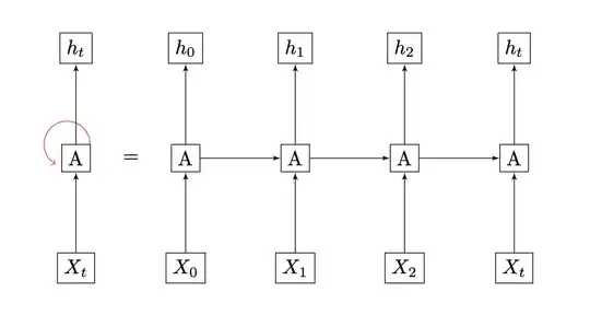
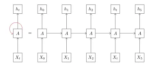
How can I add an equals sign between the leftmost "A" and the next "A" to the right?
Here's what I have so far:
\usepackage{graphicx}
\usetikzlibrary{arrows,shapes,decorations,automata,backgrounds,petri,positioning}
\usepackage{tikz}
\usepackage{pgfplots}
\pgfplotsset{width=7cm,compat=1.3}
\tikzstyle{arrow} = [draw, -latex']
\tikzstyle{node} = [rectangle, draw, text centered]
\begin{document}
\begin{figure}[ht]
\centering
\begin{tikzpicture}[node distance=1.4cm]
\tikzstyle{place}=[circle,thick,draw=gray!75,fill=gray!20,minimum size=6mm]
\node (ae) [node] {A};
\node (a0) [node, right=1.5cm of ae] {A};
\node (a1) [node, right of=a0] {A};
\node (a2) [node, right of=a1] {A};
\node (a3) [node, right of=a2] {A};
\node (x0) [node, below of=ae] {$X_t$};
\node (x1) [node, below of=a0] {$X_0$};
\node (x2) [node, below of=a1] {$X_1$};
\node (x3) [node, below of=a2] {$X_2$};
\node (x4) [node, below of=a3] {$X_t$};
\node (h0) [node, above of=ae] {$h_t$};
\node (h1) [node, above of=a0] {$h_0$};
\node (h2) [node, above of=a1] {$h_1$};
\node (h3) [node, above of=a2] {$h_2$};
\node (h4) [node, above of=a3] {$h_t$};
\draw [red,->] (ae.45) arc (0:240:4mm) node[pos=0.5,above left]{}(ae);
%\draw [=] (ae) -- (a0)
\draw [arrow] (a0) -- (a1);
\draw [arrow] (a1) -- (a2);
\draw [arrow] (a2) -- (a3);
\draw [arrow] (x0) -- (ae);
\draw [arrow] (x1) -- (a0);
\draw [arrow] (x2) -- (a1);
\draw [arrow] (x3) -- (a2);
\draw [arrow] (x4) -- (a3);
\draw [arrow] (ae) -- (h0);
\draw [arrow] (a0) -- (h1);
\draw [arrow] (a1) -- (h2);
\draw [arrow] (a2) -- (h3);
\draw [arrow] (a3) -- (h4);
\end{tikzpicture}
\end{figure}
\end{document}




tikzbefore any of the libraries. You have it reversed in your code. Also, the\documentclassis missing. – Sandy G May 16 '22 at 03:18