(La)TeX does what it's instructed to, in this case to print the product of the four variables W A C C.
I believe your WACC stands for a single variable, so the strategy would be to use \mathit, but there's a better one.
\documentclass{article}
\usepackage{amsmath}
\newcommand{\cvar}[1]{\mathit{#1}}
\begin{document}
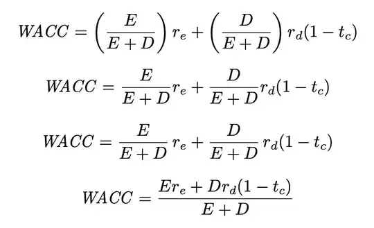
[
\cvar{WACC} = \left(\frac{E}{E+D}\right) r_e + \left(\frac{D}{E+D}\right) r_d(1-t_c)
]
[
\cvar{WACC} = \frac{E}{E+D} r_e + \frac{D}{E+D} r_d(1-t_c)
]
[
\cvar{WACC} = \frac{E}{E+D} , r_e + \frac{D}{E+D} , r_d(1-t_c)
]
[
\cvar{WACC} = \frac{E r_e + D r_d(1-t_c)}{E+D}
]
\end{document}
The idea is to define a command for such kind of objects (choose the name you prefer), which will ensure uniformity across the whole document and will also have the benefit that, if you want to globally change their typesetting, you just need to act on a single place, that is, the definition of \cvar.
Don't use $$ in LaTeX. I also added alternative formats for the equation, as the large parentheses don't seem really useful. Note that you don't need \dfrac, but just \frac.

\textrm{WACC}if "WACC" is some sort of abbreviation. If you insist on italic, use\textit{WACC}. However, just usingWACCis telling LaTeX that you have a variable "W" multiplied by three additional variables, "A", "C", and "C". – Steven B. Segletes May 20 '22 at 00:30textitortextrm, TeX thinks you mean the variableWtimes the variableAtimes the variableCtwice, and spaces things accordingly. – Teepeemm May 20 '22 at 00:33