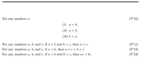
I'm using LuaLaTeX and the scrbook class. Here's what I want to typeset:
I tried to typeset this using several helpful macros related to adjustable shortintertexts and align/alignat environments from this TeX SE answer and also this one.
Here's my MWE:
\documentclass[%
% draft,
twoside,
DIV=15, % division factor
BCOR=12.5mm, % binding correction
headsepline=1.5pt, % header line
footsepline=0.4pt, % footer line
]{scrbook} % 11pt, a4paper (default)
\usepackage{scrhack}
\usepackage[automark]{scrlayer-scrpage}
\usepackage[english]{babel}
\usepackage[babel]{microtype}
\usepackage{mathtools, amssymb}
\usepackage[warnings-off={mathtools-colon,mathtools-overbracket}]{unicode-math} % Math fonts
\setmathfont{Latin Modern Math}
\usepackage{setspace}\setdisplayskipstretch{}
\usepackage{enumitem}
%%%%%%%%%%%%%%%%%%%%%%%%%%%%%%%%%%%%%%%%%%%%%%%%%%%%%%%%%%%%%%%%
% \adjintertext custom spacing \intertext macro
\MHInternalSyntaxOn
\newcommand{\adjintertext}[3]% #1=above skip, #2=below skip, #3=text
{\ifvmode\else\\\@empty\fi
\noalign{%
%\penalty\postdisplaypenalty\vskip\belowdisplayskip
\vskip-\lineskiplimit % CCS
\vskip\normallineskiplimit % CCS
\vskip#1
\vbox{\normalbaselines
\ifdim
\ifdim\@totalleftmargin=\z@
\linewidth
\else
-\maxdimen
\fi
=\columnwidth
\else \parshape\@ne \@totalleftmargin \linewidth
\fi
\noindent#3\par}%
%\penalty\predisplaypenalty\vskip\abovedisplayskip%
\vskip-\lineskiplimit % CCS
\vskip\normallineskiplimit % CCS
\vskip#2
}}%
\MHInternalSyntaxOff
% altalign environment (align with no horizontal spaces like alignat)
\newenvironment{altalign}{\alignat{99}}{\endalignat}
\catcode`*=11
\newenvironment{altalign*}{\alignat*{99}}{\endalignat*}
\catcode`*=12
%%%%%%%%%%%%%%%%%%%%%%%%%%%%%%%%%%%%%%%%%%%%%%%%%%%%%%%%%%%%%%%%
\begin{document}
\onehalfspacing
\KOMAoptions{DIV=current}
\addtokomafont{pagenumber}{\normalsize\bfseries\sffamily} % page number font
\ifoot*{} % inner footer
\cfoot*{} % central footer
\ofoot*{\pagemark} % outer footer
%%%%%%%%%%%%%%%%%%%%%%%%%%%%%%%%%%%%%%%%%%%%%%%%%%%%%%%%%%%%%%%%
\begin{altalign*}
\adjintertext{0pt}{-16.40pt}{For any numbers \(a\)} \tag{P'10} \\
& \text{(i) } && a &&= b, && \\
& \text{(ii) } && a &&< b, && \\
& \text{(iii) } && b &&< a. && \\[10pt]
\adjintertext{0pt}{-16.40pt}{For any numbers \(a\), \(b\), and \(c\), if \(a < b\) and \(b < c\), then \(a < c\).} \tag{P'11} \\
\adjintertext{0pt}{-16.40pt}{For any numbers \(a\), \(b\), and \(c\), if \(a < b\), then \(a + c < b + c\).} \tag{P'12} \\
\adjintertext{0pt}{-16.40pt}{For any numbers \(a\), \(b\), and \(c\), if \(a < b\) abd \(0 < c\), then \(ac < bc\).} \tag{P'13}
\end{altalign*}
\end{document}
So far I'm quite satisfied with the result (even if it's not the most efficient) but the only thing I'm conflicted about is how I brute-forced the \tags to somewhat be level with the \adjintertexts by using negative vertical space via trial and error.
My question is:
How do I typeset centered and aligned equations with additional preceding and succeeding flush left / ragged right labeled intertexts in one single math mode environment?
Thank you.

