I'm using an overleaf springer nature latex template. It can be found here:
I tried many packages to get this equation to appear right without success.
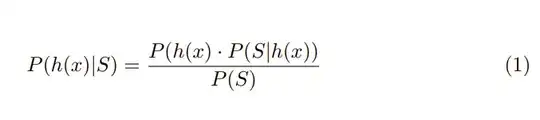
It appears like
. If I use the Elsevier latex template overleaf or online equation editor the equation will appear just fine. Any help, please.
\documentclass[default,iicol]{sn-jnl}% Default with double column layout
\jyear{2021}%
%% as per the requirement new theorem styles can be included as shown below
\theoremstyle{thmstyleone}%
\newtheorem{theorem}{Theorem}% meant for continuous numbers
%%\newtheorem{theorem}{Theorem}[section]% meant for sectionwise numbers
%% optional argument [theorem] produces theorem numbering sequence instead of independent numbers for Proposition
\newtheorem{proposition}[theorem]{Proposition}%
%%\newtheorem{proposition}{Proposition}% to get separate numbers for theorem and proposition etc.
\theoremstyle{thmstyletwo}%
\newtheorem{example}{Example}%
\newtheorem{remark}{Remark}%
\theoremstyle{thmstylethree}%
\newtheorem{definition}{Definition}%
\raggedbottom
%%\unnumbered% uncomment this for unnumbered level heads
\begin{document}
\section{Equations}\label{sec1}
% EQUATION 1
\begin{equation}
\label{Eq.1}
P(h(x)|S) = \frac{P(h(x) \cdot P(S|h(x))}{P(S)}
\end{equation}
\end{document}

