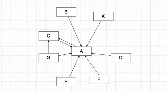
I want to I connect nodes around a center node. Example could be seen as below:
my approach:
\documentclass[border={10pt}]{standalone}
\usepackage{tikz}
\usetikzlibrary{positioning,arrows}
\begin{document}
\begin{tikzpicture}
[%%%%%%%%%%%%%%%%%%%%%%%%%%%%%%%%%%%%%%%%%%%%%%%%%%%%%%%%%%
node distance=1cm,
arrow/.style={->, >=stealth, very thick},
block/.style={rectangle, fill=blue!20, text centered,
rounded corners, minimum height=1em}
]%%%%%%%%%%%%%%%%%%%%%%%%%%%%%%%%%%%%%%%%%%%%%%%%%%%%%%%%%%
\node[block] (A) {A};
\node[block] (B) [above=of A] {B};
\node[block] (K) [right=of B] {K};
\node[block] (C) [left=of A] {C};
\node[block] (D) [right=of A] {D};
\node[block] (E) [below=of A] {E};
\node[block] (F) [right=of E] {F};
\node[block] (G) [left=of E] {G};
%connect nodes
\draw [arrow] (B.south) -- ++(0,-0) -| (A.north);
\draw [arrow] (C.east) -- ++(0,-0) -| (A.west);
\draw [arrow] (E.north) -- ++(0,-0) -| (A.south);
\draw [arrow] (D.west) -- ++(0,-0) -| (A.east);
\draw [arrow] (F.north) -- ++(0,-0) -| (A.southeast);
\draw [arrow] (G.north) -- ++(0,-0) -| (A.west);
\draw [arrow] (K.south) -- ++(0,-0) -| (A.east);
\end{tikzpicture}
\end{document}
output:
where I was not able to put nodes into cross locations, in between B - D , D - E , C - E , and B - C.



Cis very long text likeReseacheris it possible to shift it to the right? – alper May 26 '22 at 18:48\node[block] at (160:2.5) (C) {Researcher};– Sandy G May 26 '22 at 18:53