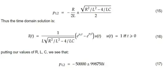
I am looking for a latex package that can evaluate symbolic expressions by substituting the values of symbols declared in some header. For example, in these set of equations, as you can see, I get certain values of p1, p2 by substituting the values of R, L and C.

Here I had to calculate the values of p1,p2 outside of latex software and then manually enter them in (17).
I am looking for a feature where I can declare values of some special variables, R, C and L at the start of the code and then p1, p2 will be automatically evaluated in equation (17) if I use some option telling compiler to substitute the numerical value (I imagine something like : \begin{equation}{evauate = 1}\end{equation}) this will save a lot of time for me as often i make calculation mistakes in these trivial equations and the error propagates in all following equations and lot of unwarranted time wastage happens.
I have heard that in tikz package we can plot functions so I am hoping this has also been possibly implemented.
thanks!


