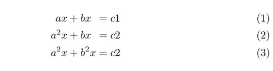
Using Latex, I am looking for a way to align equations on several characters. I want to obtain something like that :
ax + bx = c1
a²x + bx = c2
a²x + b²x = c2
As you can see the idea is that the horizontal alignment occurs at several characters (here the two x appearing at each row, the plus symbol, and the equal symbol), and to generetate such an alignment I want to insert some spaces.
I already tried to use the align block but when using several '&', the result shows huge spaces between each '&' positions.

