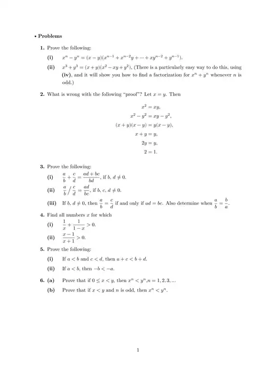
Here's my MWE compiled using LuaLaTeX:
\documentclass[oneside,DIV=12]{scrbook}
\usepackage{scrhack}
\usepackage[automark]{scrlayer-scrpage}
\usepackage[english]{babel}
\usepackage[babel]{microtype}
\usepackage{mathtools, amsthm, amssymb}
\usepackage[warnings-off={mathtools-colon,mathtools-overbracket}]{unicode-math}
\setmathfont{Latin Modern Math}
\usepackage{setspace}\setdisplayskipstretch{}
\usepackage{enumitem}
%%%%%%%%%%%%%%%%%%%%%%%%%%%%%%%%%%%%%%%%%%%%%%%%%%%%%%%%
% List environment settings
\setlist[enumerate]{font={\bfseries}}
\setlist[enumerate,1]{label=\arabic., labelsep=0.5em}
\setlist[enumerate,2]{label=(\roman), align=left, leftmargin=3em, labelwidth=2.5em}
% Resizeable \bullet symbol
\newcommand{\rbullet}[1][.75]{\mathbin{\vcenter{\hbox{\scalebox{#1}{$\bullet$}}}}} % https://tex.stackexchange.com/a/389240/228055
% Custom amsthm theorem environments
\newtheoremstyle{custom}
{\topsep} % ABOVESPACE
{\topsep} % BELOWSPACE
{\normalfont} % BODYFONT
{0pt} % INDENT (empty value is the same as 0pt)
{(\rbullet) \bfseries} % HEADFONT
{ } % HEADPUNCT
{\newline} % HEADSPACE
{\thmnote{#3 }\thmname{#1}} % CUSTOM-HEAD-SPEC
\theoremstyle{custom}
\newtheorem{problems}{Problems}
\newtheorem{solutions}{Solutions}
%%%%%%%%%%%%%%%%%%%%%%%%%%%%%%%%%%%%%%%%%%%%%%%%%%%%%%%%
\begin{document}
\onehalfspacing\KOMAoptions{DIV=current}
\begin{problems}
\begin{enumerate}
\item[]
% No. 01
\item Prove the following:
\begin{enumerate}
% (i)
\item (x^n - y^n = (x - y) (x^{n-1}+ x^{n-2} y + \dots + x y^{n-2} + y^{n-1})).
% (ii)
\item (x^3 + y^3 = (x + y) (x^2 - xy + y^2)), (There is a particularly easy way to do this, using \textbf{(iv)}, and it will show you how to find a factorization for (x^n + y^n) whenever (n) is odd.)
\end{enumerate}
% No. 02
\item What is wrong with the following ``proof''? Let (x = y). Then
\begin{align}
x^2 &= xy, \
x^2 - y^2 &= xy - y^2, \
(x + y) (x - y) &= y (x - y), \
x + y &= y, \
2y &= y, \
2 &= 1.
\end{align}
% No. 03
\item Prove the following:
\begin{enumerate}
% (i)
\item (\dfrac{a}{b} + \dfrac{c}{d} = \dfrac{ad + bc}{bd}), if (b), (d \neq 0).
% (ii)
\item (\left.\dfrac{a}{b} ,\middle/, \dfrac{c}{d}\right. = \dfrac{ad}{bc}), if (b), (c), (d \neq 0).
% (iii)
\item If (b), (d \neq 0), then (\dfrac{a}{b} = \dfrac{c}{d}) if and only if (ad = bc). Also determine when (\dfrac{a}{b} = \dfrac{b}{a}).
\end{enumerate}
% No. 04
\item Find all numbers (x) for which
\begin{enumerate}
% (i)
\item (\dfrac{1}{x} + \dfrac{1}{1 - x} > 0).
% (ii)
\item (\dfrac{x - 1}{x + 1} > 0).
\end{enumerate}
% No. 05
\item Prove the following:
\begin{enumerate}
% (i)
\item If (a < b) and (c < d), then (a + c < b + d).
% (ii)
\item If (a < b), then (-b < -a).
\end{enumerate}
% No. 06
\item \begin{enumerate}[label=(\alph*)]
% (a)
\item Prove that if (0 \leq x < y), then (x^n < y^n),(n = 1, 2, 3, \dots)
% (b)
\item Prove that if (x < y) and (n) is odd, then (x^n < y^n).
\end{enumerate}
\end{enumerate}
\end{problems}
\end{document}
When using the enumitem package, I am generally fine with the default vertical sep values in lists but I find it to be a bit narrow or tight when there are display style fractions in inline math mode, i.e., \dfracs included in the \items. For example, I find the in-between vertical spacing starting from 3, then 3(i), 3(ii), 3(iii), 4, 4(i), 4(ii), and ending at 5 to be not enough for my personal taste. The rest is fine, though.
My question is: How do I globally adjust/stretch the in-between vertical spacing of items in lists only when they include display style fractions in inline math mode?
Preferably without manually adding options to each and every single enumerate environments that include display style fractions in inline math mode and without globally affecting the vertical spacing and sep values of the other enumerate environments that don't include display style fractions in inline math mode as to not the overstretch the entire document's length. Thank you.


