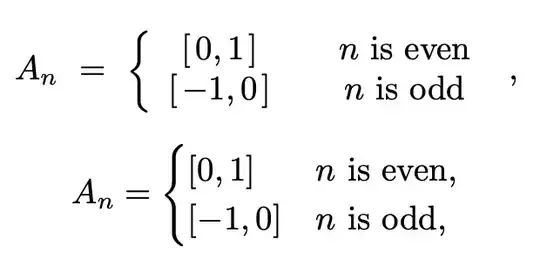
The problem is that the first [ follows \\ and is mistaken for introducing the optional argument. Use \relax or, better, use the proper tool.
\documentclass{article}
\usepackage{amsmath}
\begin{document}
$$ A_n\ =\ \left{\begin{array}{ccc}
[\hskip.017in 0,1\hskip.017in] & {} & n\ {\rm is\ even} \ \relax
[\hskip.017in -1,0\hskip.017in] & {} & n\ {\rm is\ odd} \
\end{array}\right.\ , $$
[
A_n=\begin{cases}
[0,1] & \text{$n$ is even,} \
[-1,0] & \text{$n$ is odd,}
\end{cases}
]
\end{document}

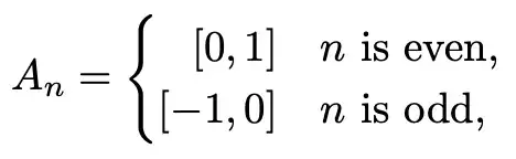
I have little doubts about which rendering is better both for input and output. If you want to align the two intervals to the right, add \hphantom{-}:
\[
A_n=\begin{cases}
\hphantom{-}[0,1] & \text{$n$ is even,} \\
[-1,0] & \text{$n$ is odd,}
\end{cases}
\]

I'd avoid the comma hanging from nowhere.
Note that \rm has been deprecated for about 30 years and $$ since LaTeX version 1, about 40 years ago.