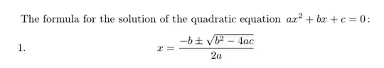
So, I'm using LaTeX for my math homework and I'm having trouble with figuring out enumerate in Overleaf. Right now what I'm trying to do is write an answer that is centered, but I can't figure out how to do it without centering the question number, which I don't want to do.
Problematic code:
\documentclass{article}
\usepackage{enumitem}
\begin{document}
\begin{enumerate}
\item
\begin{center}
$math$
\end{center}
\end{enumerate}
\end{document}
Is there any way of getting around this? Thanks in advance!


align*inenumeratePotential duplicate, – barbara beeton Jun 21 '22 at 18:48