Could you help me please, I need a mirror lambda as the sub-indice in the picture. I tried `d_{{\reflectbox{$\lambda$}}_j}´ without success.

Asked
Active
Viewed 862 times
2 Answers
8
Go to the webpage https://detexify.kirelabs.org/classify.html and draw the symbol. The classifier will tell you that it is the symbol \rightthreetimes from the amssymb packages.
\documentclass{article}
\usepackage{amsmath}% \begin{cases} ... \end{cases}
\usepackage{amssymb}% \rightthreetimes
\begin{document}
\[
\begin{cases}
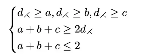
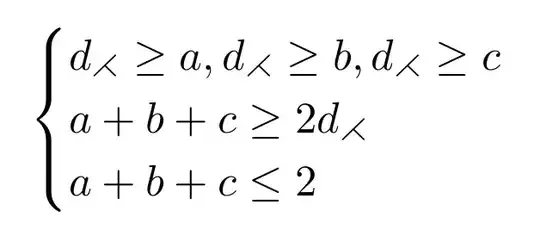
d_\rightthreetimes\geq a, d_\rightthreetimes\geq b, d_\rightthreetimes\geq c\\
a + b + c \geq 2d_\rightthreetimes\\
a + b + c \leq 2
\end{cases}
\]
\end{document}
gernot
- 49,614
5
You can use \mathpalette (you find several examples on the site).
\documentclass{article}
\usepackage{graphicx}
\makeatletter
\DeclareRobustCommand{\mlambda}{% mirror lambda
{\mathpalette\mlambda@\relax}%
}
\newcommand{\mlambda@}[2]{%
\reflectbox{$\m@th#1\lambda$}%
}
\makeatother
\begin{document}
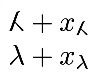
$\mlambda+x_{\mlambda}$
$\lambda+x_{\lambda}$
\end{document}
egreg
- 1,121,712
-
1That looks very odd, with the serif, weight axis and italic-slant flipped as well as the strokes. – leftaroundabout Jun 23 '22 at 12:14

