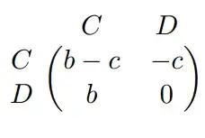
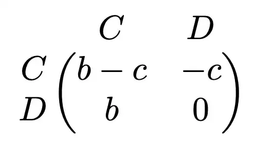
How can I obtain the following representation?
Asked
Active
Viewed 204 times
1 Answers
8
This is a job for nicematrix:
\documentclass{article}
\usepackage{amsmath}
\usepackage{nicematrix}
\begin{document}
[
\begin{pNiceMatrix}[first-col,first-row]
& C & D \
C & b-c & -c \
D & b & 0
\end{pNiceMatrix}
]
\end{document}
egreg
- 1,121,712


\bordermatrix(see for example this answer? – mickep Jul 06 '22 at 16:54nicematrixpackage does this well. – frougon Jul 06 '22 at 17:00