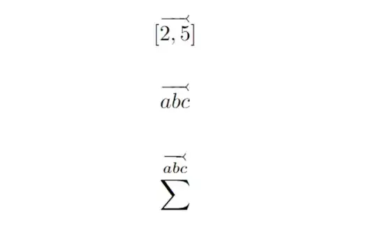
Here is a possibility with tikz. The commands \overrighttail, \overlefttail and \overleftrighttail produce the "arrows" using the syntax \overrighttail{abc}, etc.

An optional second argument allows for styling of the arrow, e.g.,
\overleftrighttail[red, semithick, densely dotted, line cap=round]{abc}
as seen above. The arrow shape can be changed by replacing to in the tikzset with whatever shape you want:
\tikzset{tail/.tip={Stealth[reversed, length=4pt]}}

To use as a limit in a \sum, see this related answer.
Here is the code:
\documentclass{article}
\usepackage{tikz, mathtools}
\usetikzlibrary{arrows.meta}
\tikzset{tail/.tip={to[reversed, length=1.5pt]}}
\newcommand{\overrighttail}[2][]{\tikz[baseline, anchor=base]{\nodeinner sep=0pt{$#2$};
\draw[tail-, #1]([shift={(1pt,2pt)}]a.north west)--([shift={(-1pt,2pt)}]a.north east);}}
\newcommand{\overlefttail}[2][]{\tikz[baseline, anchor=base]{\nodeinner sep=0pt{$#2$};
\draw[-tail, #1]([shift={(1pt,2pt)}]a.north west)--([shift={(-1pt,2pt)}]a.north east);}}
\newcommand{\overleftrighttail}[2][]{\tikz[baseline, anchor=base]{\nodeinner sep=0pt{$#2$};
\draw[tail-tail, #1]([shift={(1pt,2pt)}]a.north west)--([shift={(-1pt,2pt)}]a.north east);}}
\begin{document}
[
\overrighttail{abc};\overlefttail{abc};\overleftrighttail{abc};
\overleftrighttail[red, semithick, densely dotted, line cap=round]{abc}
]
\end{document}