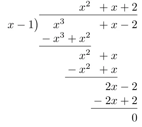
Improving @Henri Menke answer, taking into account the main requirement about divisor placement, using polynom package with automated long division, you could do this like so:

\documentclass{article}
\usepackage{polynom}
\makeatletter
\def\pld@ArrangeResult#1{%
\ifx\pld@remainder\@empty
\@tempcnta\pld@maxcol\relax
\pld@InsertItems@do\pld@lastline{\pld@firsttrue\pld@PLD{\pld@R{0}{1}}}%
\fi
\pld@Extend\pld@allines{\pld@lastline\cr}%
\let\pld@lastline\@empty
\expandafter\pld@AR@col\expandafter\pld@PLD
\expandafter\pld@lastline#1+\relax+%
\pld@SplitQuotient
\let\pld@currentline\@empty
\expandafter\pld@AR@col\expandafter\pld@PLD
\expandafter\pld@currentline
\pld@quotient+\relax+%
\expandafter\pld@AR@col\expandafter\pld@XPLD
\expandafter\pld@currentline
\pld@shadow+\relax+%
\edef\pld@subline{%
\noexpand\cline{\tw@-\pld@maxcol}%
\noalign{\vskip\jot}}%
\pld@Extend\pld@currentline{\expandafter\cr\pld@subline}%
\pld@AddTo\pld@lastline{
&&&&{}~:~\pld@PrintPoly\pld@divisor % <- crucial change
}
\expandafter\pld@AR@\pld@allines\relax
}
\makeatother
\begin{document}
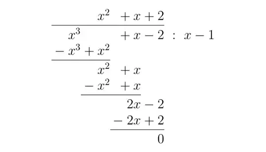
[ \polylongdiv{x^3 + x - 2}{x - 1} ]
\end{document}
Edit:
After a couple of issues that have been found and pointed out to in the comments, I have to make some remarks.
First of all, the solution based on changing some parts of polynom's source code. Unfortunately, everything related to the arrangement happens inside \pld@ArrangeResult macro that make it impossible to make tiny changes without copy pasting the whole definition of \pld@ArrangeResult into your preamble.
Since the OP's request was aimed to achieve the exact placement of a delimiter, I thought that I will keep only the important bits of \pld@ArrangeResult definition to make it work. But, as has been mentionoed before, apperantly I erased too much (but the code above seems bugless yet the smalles). In sake of versatility, I provide the MWE with the complete \pld@ArrangeResult definition with the only change for delimiter placement so that changing styles via \polyset{style=C} will work now as well.
\documentclass{article}
\usepackage{polynom}
\makeatletter
\def\pld@ArrangeResult#1{%
\ifx\pld@remainder\@empty
\@tempcnta\pld@maxcol\relax
\pld@InsertItems@do\pld@lastline
{\pld@firsttrue\pld@PLD{\pld@R{0}{1}}}%
\fi
\ifnum\pld@currstage>\z@
\pld@Extend\pld@allines{\pld@lastline\cr}%
\else
\pld@InsertFake\pld@lastline
\fi
\let\pld@lastline\@empty
\ifx C\pld@style
\def\pld@lastline{\pld@leftdelim\strut\pld@rightxdelim&}%
\fi
\expandafter\pld@AR@col\expandafter\pld@PLD
\expandafter\pld@lastline#1+\relax+%
\pld@SplitQuotient
\pld@iftopresult
\let\pld@currentline\@empty
\expandafter\pld@AR@col\expandafter\pld@PLD
\expandafter\pld@currentline
\pld@quotient+\relax+%
\expandafter\pld@AR@col\expandafter\pld@XPLD
\expandafter\pld@currentline
\pld@shadow+\relax+%
\edef\pld@subline{%
\noexpand\cline{\tw@-\pld@maxcol}%
\noalign{\vskip\jot}}%
\pld@Extend\pld@currentline{\expandafter\cr\pld@subline}%
\pld@AddTo\pld@lastline{
&&&&{}~:~\pld@PrintPoly\pld@divisor % <- crucial change
}
\else
\@tempcnta-\@tempcnta
\advance\@tempcnta\pld@maxcol\relax \advance\@tempcnta\@ne
\edef\pld@span{\the\@tempcnta}%
\@tempcntb\pld@maxcol\relax\advance\@tempcntb\pld@span%
\advance\@tempcntb\@ne%
\edef\pld@linepos{\the\@tempcntb}%
\ifx B\pld@style
\pld@AddTo\pld@lastline{%
&\multispan\pld@span${}=%
\pld@PrintPolyWithDelims\pld@divisor
\expandafter\pld@IfSum\expandafter{\pld@divisor}{}{\cdot}%
\expandafter\pld@IfSum\expandafter{\pld@quotient}\pld@true
\pld@false
\pld@if \pld@leftdelim
\pld@PrintPolyShadow
\pld@rightdelim
\else \pld@PrintPolyShadow \fi
\pld@firstfalse
\expandafter\pld@PrintRemain\expandafter{\pld@remainder}$}%
\else
\if C\pld@style
\pld@AddTo\pld@lastline{%
&\multispan\pld@span$\pld@leftxdelim\strut\pld@rightdelim
\pld@div
\pld@PrintPolyWithDelims\pld@divisor=
\pld@PrintPolyShadow
\ifx\pld@remainder\@empty\else
+{}%
\setbox\z@=\hbox{$\displaystyle
\frac{\let\strut\@empty\pld@firsttrue \expandafter
\pld@PrintRemain\expandafter{\pld@remainder}}%
{\let\strut\@empty\pld@PrintPoly\pld@divisor}$}%
\dp\z@=\z@\box\z@
\fi
$}%
\else
\pld@AddTo\pld@lastline{%
\cr%
\noalign{\vskip-\normalbaselineskip}%
\multispan\pld@maxcol~&~&\multispan\pld@span${}\vrule~%
\pld@PrintPoly\pld@divisor\hfil\hfil$\cr%
\cline{\pld@maxcolplustwo-\pld@linepos}%
\multispan\pld@maxcol~&~&\multispan\pld@span${}\vrule height
2.25ex~\pld@PrintPolyShadow$\hfil\cr\noalign{\vskip-2\normalbaselineskip}}%
\fi
\fi
\fi
\expandafter\pld@AR@\pld@allines\relax}
\makeatother
\begin{document}
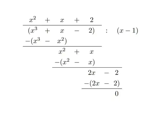
[ \polylongdiv{x^3 + x - 2}{x - 1} ]
\end{document}
polynompackage didn't gave me a solution... Sorry for a trouble! – constantin_d Jul 18 '22 at 08:39