It's not difficult to make alphabeta to do its job also for XeLaTeX or LuaLaTeX.
\documentclass{article}
\usepackage{iftex}
\usepackage{amsmath}
\iftutex
\newcommand\DeclareUnicodeCharacter[2]{%
\begingroup\lccode`~="#1\lowercase{\endgroup\protected\def~}{#2}%
\catcode"#1=\active
}
\fi
\usepackage{alphabeta}
\begin{document}
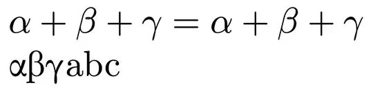
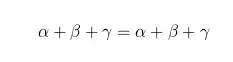
$α+β+γ=\alpha+\beta+\gamma$
\end{document}

Explanation: the package redefines \alpha to be \TextOrMath{\textalpha}{\mathalpha}, where \mathalpha is the original \alpha. The same for all other Greek letters.
After that it does
\DeclareUnicodeCharacter{03B1}{\alpha}
in order to allow the user to type α to get an alpha in text or math mode. The code between \iftutex (which is true when using XeLaTeX or LuaLaTeX and false otherwise) makes the Greek letter α active and provides a definition for them, which is exactly \alpha as redefine by alphabeta as mentioned above.
Of course, in order to use the Greek letters in text mode, you need a font that supports them.

If you plan to only use XeLaTeX or LuaLaTeX, you can obviously omit \iftutex and \fi.
unicode-mathnotalphabetaand you will be able to use all Unicode math characters – David Carlisle Jul 28 '22 at 14:19