How can I code this equation in markdown? I'm trying this in marktext
Asked
Active
Viewed 148 times
1 Answers
1
Your code is almost correct. You can fix it as such:
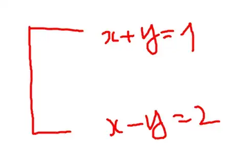
$\left[ \begin{array}{} x + y = 1 \\ x - y = 2 \end{array} \right$
The second parameter for the array environment is needed.
isoparallel
- 171
- 3
-
That should be
\right.for the matching place marker. (Probably a typo here, but without a matching something, that's an automatic error message.) – barbara beeton Aug 07 '22 at 21:42 -
@barbarabeeton In the software the original poster is using, it seems to work just fine. – isoparallel Aug 07 '22 at 22:31
-


\right. – mickep Aug 07 '22 at 15:50