0

Problem Description

What is the problem in this code? I am getting an error. Please help me.

MWE:

\documentclass[12pt]{article}
\usepackage[a4paper,top=0.6 in,bottom=0.6 in,left=0.6 in,right=0.6 in]{geometry}
\usepackage{amsmath}
\begin{document}
\large
\begin{equation}
\begin{align*}
 \lambda&=\dfrac{Gr_{x}}{R_{e}^2}   &   \widetilde{N}&=\dfrac{Gr_{x}^{\ast}}{Gr_{x}} \\[3ex]
 Gr_{x}&=\dfrac{g\beta_{T}\left(T_{w}-T_{\infty}\right)x^{3}}{\nu^{2}}       &   Gr_{x}^{\ast}&=\dfrac{g\beta_{C}\left(C_{w}-C_{\infty}\right)x^{3}}{\nu^{2}}\\[3ex]
 M^{2}&=\dfrac{\sigma\,B_{0}^{2}}{a\,\rho\, x^{n-1}}   &   Nr&=\dfrac{16\sigma^{\ast}}{3k^{\ast}}\,\dfrac{T^{3}_{\infty}}{k_{2}} \\[3ex]
 \dfrac{1}{Pr}&=\dfrac{k_{2}}{\rho c_{p}}       &   A&=\dfrac{b}{a}\\[3ex]
S_{c}&=\dfrac{\nu}{D_{B}}   &   \dfrac{1}{k_{1}}&=\dfrac{\mu \phi}{k'}\\[3ex]
 S_{r}&=\dfrac{D_{m}\,k_{T}\,\left(T_{w}-T_{\infty}\right)}{\alpha_{m}\,C_{p}\,C_{s}\,\left(C_{w}-C_{\infty}\right)}      &   D_{f}&=\dfrac{D_{m}\,k_{T}\,\left(T_{w}-T_{\infty}\right)}{\alpha_{m}\,C_{p}\,C_{s}\,\left(C_{w}-C_{\infty}\right)}
\end{align*} 
\end{equation}
\end{document}
itc
  • 657
SandyM
  • 2,757
  • 1
    You shouldn't put align* inside equation, since align* is already a top-level display environment. The error message is pretty clear. Just remove the outer equation environment. – campa Aug 17 '22 at 08:56
  • No, It's different. Please help me. – SandyM Aug 17 '22 at 09:02
  • 3
    I can't show you the answer because I don't know what the question is. You are asking "What is the problem in this code?", and the linked answer explains that. Clearly you are trying to get a particular numbering but you don't say which one: One number for the whole block? Aligned where? Top, middle, bottom? How am I supposed to know what you want? – campa Aug 17 '22 at 10:20
  • One number for whole set of equation. Aligned in Middle. – SandyM Aug 17 '22 at 11:24
  • @DIalfrost No, There are multiple equation numbers. – SandyM Aug 17 '22 at 11:34
  • 1
    To have only one equation number vertically centered, use the aligned environment instead of align* within the equation environment. – Imran Aug 17 '22 at 11:47
  • @Math-Man Does this solve your problem? https://i.stack.imgur.com/Kahzr.png Or do you want 2 equations on 1 line – DialFrost Aug 17 '22 at 12:17

1 Answers1

4

This should work:

\documentclass[12pt]{article}
\usepackage[a4paper,top=0.6 in,bottom=0.6 in,left=0.6 in,right=0.6 in]{geometry}
\usepackage{amsmath}
\begin{document}
\large
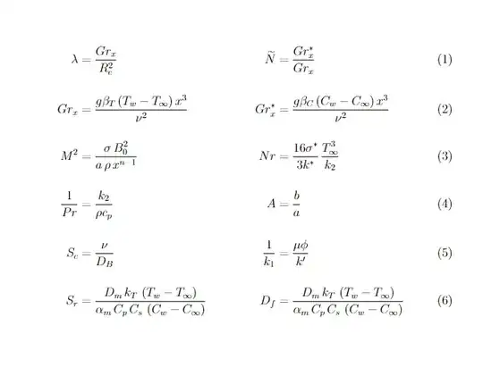
\begin{align}
 \lambda&=\dfrac{Gr_{x}}{R_{e}^2}   &   \widetilde{N}&=\dfrac{Gr_{x}^{\ast}}{Gr_{x}} \\[3ex]
 Gr_{x}&=\dfrac{g\beta_{T}\left(T_{w}-T_{\infty}\right)x^{3}}{\nu^{2}}       &   Gr_{x}^{\ast}&=\dfrac{g\beta_{C}\left(C_{w}-C_{\infty}\right)x^{3}}{\nu^{2}}\\[3ex]
 M^{2}&=\dfrac{\sigma\,B_{0}^{2}}{a\,\rho\, x^{n-1}}   &   Nr&=\dfrac{16\sigma^{\ast}}{3k^{\ast}}\,\dfrac{T^{3}_{\infty}}{k_{2}} \\[3ex]
 \dfrac{1}{Pr}&=\dfrac{k_{2}}{\rho c_{p}}       &   A&=\dfrac{b}{a}\\[3ex]
S_{c}&=\dfrac{\nu}{D_{B}}   &   \dfrac{1}{k_{1}}&=\dfrac{\mu \phi}{k'}\\[3ex]
 S_{r}&=\dfrac{D_{m}\,k_{T}\,\left(T_{w}-T_{\infty}\right)}{\alpha_{m}\,C_{p}\,C_{s}\,\left(C_{w}-C_{\infty}\right)}      &   D_{f}&=\dfrac{D_{m}\,k_{T}\,\left(T_{w}-T_{\infty}\right)}{\alpha_{m}\,C_{p}\,C_{s}\,\left(C_{w}-C_{\infty}\right)}
\end{align} 
\end{document}

Removing \begin{equation}, \end{equation} environment and changing align* to align fixes everything.

enter image description here

If you want them singularly vertical:

\documentclass[12pt]{article}
\usepackage[a4paper,top=0.6 in,bottom=0.6 in,left=0.6 in,right=0.6 in]{geometry}
\usepackage{amsmath}
\begin{document}
\large

\begin{align} \lambda=\dfrac{Gr_{x}}{R_{e}^2} \end{align}

\begin{align} \widetilde{N}=\dfrac{Gr_{x}^{\ast}}{Gr_{x}} \end{align}

\begin{align} Gr_{x}=\dfrac{g\beta_{T}\left(T_{w}-T_{\infty}\right)x^{3}}{\nu^{2}} \end{align}

\begin{align} Gr_{x}^{\ast}=\dfrac{g\beta_{C}\left(C_{w}-C_{\infty}\right)x^{3}}{\nu^{2}} \end{align}

\begin{align} M^{2}=\dfrac{\sigma,B_{0}^{2}}{a,\rho, x^{n-1}} \end{align}

\begin{align} Nr=\dfrac{16\sigma^{\ast}}{3k^{\ast}},\dfrac{T^{3}{\infty}}{k{2}} \end{align}

\begin{align} \dfrac{1}{Pr}=\dfrac{k_{2}}{\rho c_{p}} \end{align}

\begin{align} A=\dfrac{b}{a} \end{align}

\begin{align} S_{c}=\dfrac{\nu}{D_{B}} \end{align}

\begin{align} \dfrac{1}{k_{1}}=\dfrac{\mu \phi}{k'} \end{align}

\begin{align} S_{r}=\dfrac{D_{m},k_{T},\left(T_{w}-T_{\infty}\right)}{\alpha_{m},C_{p},C_{s},\left(C_{w}-C_{\infty}\right)}
\end{align}

\begin{align} D_{f}=\dfrac{D_{m},k_{T},\left(T_{w}-T_{\infty}\right)}{\alpha_{m},C_{p},C_{s},\left(C_{w}-C_{\infty}\right)} \end{align} \end{document}

enter image description here

DialFrost
  • 176
  • 5