Here is my code:
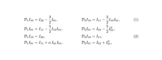
\begin{eqnarray}\label{eq:diff_inv}
&\mathcal{D}_1 I_{10}=I_{20}-\frac{3}{2}I_{01},\qquad &\mathcal{D}_2 I_{10}=I_{11}-\frac{3}{2}I_{10}I_{01},\\
&\mathcal{D}_1 I_{01}=I_{11}-\frac{5}{2}I_{10}I_{01},\qquad &\mathcal{D}_2 I_{01}=I_{02}-\frac{5}{2}I_{01}^2, \nonumber\\
&\mathcal{D}_1 I_{10}=I_{20},\qquad &\mathcal{D}_2 I_{10}=I_{11},\label{eq:diff_inv_55}\\
&\mathcal{D}_1 I_{01}=I_{11}+\alpha\,I_{01}I_{01},\qquad &\mathcal{D}_2 I_{01}=I_{02}+I_{01}^2, \nonumber
\end{eqnarray}
and here is the result:
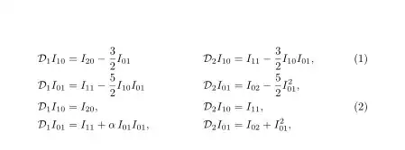
But I want this alignment:




! LaTeX Error: Unicode character (U+200E) not set up for use with LaTeX.– David Carlisle Aug 23 '22 at 18:28