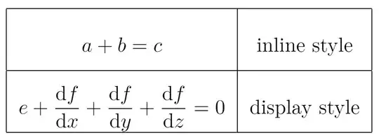
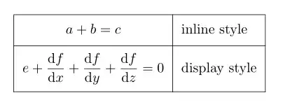
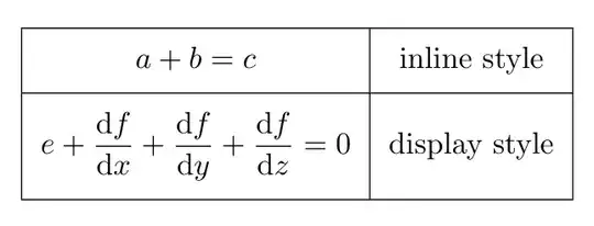
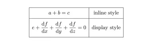
I want to know how to precisely configure the vertical alignment of equations in tabular, for example, \arraystretch can increase the height but cannot make equations vertically centered, their baseline is too low. Also, inline equations and display-style equations can be both well aligned.
\documentclass{article}
\usepackage{amsmath}
\def\arraystretch{2.5}
\begin{document}
\begin{center}
\begin{tabular}{|c|c|}
\hline
$a + b = c$ & inline style \
\hline
$e + \dfrac{\mathrm{d}f}{\mathrm{d}x} + \dfrac{\mathrm{d}f}{\mathrm{d}y} + \dfrac{\mathrm{d}f}{\mathrm{d}z} = 0$ & display style \
\hline
\end{tabular}
\end{center}
\end{document}





