I want to define a new character. For context, in particular, my new character would act similar to the ^ character for superscripts, but would put parentheses around the context of the superscript.
I know that I could write a normal command, like
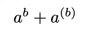
\newcommand{\superscriptWithParentheses}[2]{{#1}^{({#2})}}
which produce the desired result. For instance, \superscriptWithParentheses{x}{i} would successfully create x^{(i)}. But I am hoping to define a character instead of an ordinary command. Why? For the same reasons that people would prefer to write x_i instead of x\sp{i}. (Basically, my motivations have to do with the (1) readability of the source code when the arguments get complex and (2) syntactic consistency with similar operators _ and ^. I could provide a concrete example if the additional motivation is necessary.)
Now following this link, if I wanted to redefine ^, I could do
\catcode`\^=\active
\newcommand{^}[1]{\sp{({#1})}}
However, I want to keep the ^ character for normal superscript usage.
So it seems like I need to define a new character. But which one? I can't think of one that doesn't already have a meaning that I shouldn't overwrite. Does anybody have advice? Is there some character that would be good to use that I'm not considering? Is there some way to provide a special meaning to double characters, like ^^? Is there some way to define \^ as a character that has different meaning than ^? Is there some other approach I'm not thinking of?
