Compiling with LuaLaTeX, use of Bradley Hand Font works for body and math using beamer; but I would like to know how to render Bradley Hand font for math using standard Article style. -Thanks.
%\documentclass[11pt]{article}
\documentclass{beamer} %
\usefonttheme{serif}%
\usepackage{fontspec}
\usepackage{mathpazo}
%\setmainfont{Bradley Hand ITC TT Bold}%used Bold, since that's what was bundled w/ Mac OS X
\setmainfont{BradleyHandITC} %Postscript name of TT added as user font on MacOS X
\begin{document}
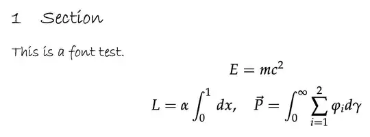
\section{Section}
This is a font test.
\[ E = m c^2 \]
\[ L = \alpha \int_0^1 \, dx, \quad \vec{P} = \int_{0}^{\infty} \sum_{i =1}^{2} {\varphi}_i d \gamma \]
\end{document}
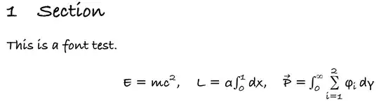
However when I try to use article style, instead of beamer, the main text is rendered with the font, but the math is not.
\documentclass[11pt]{article}
%\documentclass{beamer}
%\usefonttheme{serif}%
\usepackage{fontspec}
\usepackage{mathpazo}
%\setmainfont{Bradley Hand ITC TT Bold}%used Bold, since that's what was bundled w/ Mac OS X
\setmainfont{BradleyHandITC} %Postscript name of TT added as user font on MacOS X
\begin{document}
\section{Section}
This is a font test.
[ E = m c^2 ]
[ L = \alpha \int_0^1 , dx, \quad \vec{P} = \int_{0}^{\infty} \sum_{i =1}^{2} {\varphi}_i d \gamma ]
\end{document}
An additional question. How to have only the \section{} and/or selected text use boldface Bradley Hand ITC TT Bold, instead of Regular. -Thanks.






mathpazopackage is very old and borderline obsolete. Do consider replacing\usepackage{mathpazo}with either\usepackage{newpxtext,newpxmath}or\usepackage{kpfonts}. – Mico Sep 02 '22 at 22:58\usepackage[professionalfonts]{beamer}. – Davislor Sep 03 '22 at 13:31