If you want try this code inspired from this answer. It uses tikz instead of cancel.
\documentclass{article}
\usepackage{tikz}
\usetikzlibrary{calc}
\newif\ifCancelX
\tikzset{X/.code={\CancelXtrue}}
\newcommand{\Cancel}[2][]{\relax
\ifmmode%
\tikz[baseline=(X.base),inner sep=0pt] {\node (X) {$#2$};
\tikzset{#1}
\draw[#1,overlay,shorten >=-1pt,shorten <=-1pt] ($ (X.south west)-(1pt,-1pt) $) --($ (X.north east)+(0pt,-1pt) $);
\ifCancelX
\draw[#1,overlay,shorten >=-1pt,shorten <=-1pt] ($ (X.north west)-(0pt,0pt) $) --($ (X.south east)+(0pt,0pt) $);
\fi}
\else
\tikz[baseline=(X.base),inner sep=0pt] {\node (X) {#2};
\tikzset{#1}
\draw[#1,overlay,shorten >=-1pt,shorten <=-1pt] ($ (X.south west)-(1pt,-1pt) $) --($ (X.north east)+(0pt,-1pt) $);
\ifCancelX
\draw[#1,overlay,shorten >=-1pt,shorten <=-1pt] ($ (X.north west)-(1pt,-1pt) $) --($ (X.south east)+(0pt,-1pt) $);
\fi}%
\fi}
\begin{document}
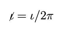
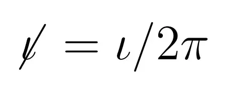
$$x =\Cancel{\iota} - \Cancel[red]{I} - \Cancel[blue]{\iota}/ 2\pi$$
\end{document}

If you work more on this code, you can customize as you like the diagonal line of canceling and also the X of cancelling. I have changed the cancelling line but pay no attention to retain the X cancel in a symmetrical form, so if you need it you have to change it more.