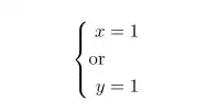
Something like this:
without too much stretching of the height of the system
I specifically want the word "or"/"and" to be inserted between the two lines (or more ?) of equation, using only cases is not a solution.
Something like this:
without too much stretching of the height of the system
I specifically want the word "or"/"and" to be inserted between the two lines (or more ?) of equation, using only cases is not a solution.
If I understood you question correctly, than the following MWE gives what you after:
\documentclass{article}
\usepackage{amsmath}
\begin{document}
[
\left{\begin{aligned}
x &= 1 \
\text{or} \
y &= 1 \
\end{aligned}\right.
]
\end{document}
Plain TeX macro \cases doesn't add a space at the right when the second column is omitted.
$$
\cases{ x = 1 \cr
\hfil\rm or \cr
y = 1
}
$$
\bye
Update.
It turns out cases, suggested below, leaves a small space behind, at the right and a better solution is proposed based on aligned environment
A comparison with cases
\documentclass{article}
\usepackage{amsmath}
\usepackage{mleftright}
\begin{document}
\mleftright
\begin{equation}
\left\{
\begin{aligned}
x &= 1 \\
y &= 1 \\
\end{aligned}
\right.\tag{1}
\end{equation}
\end{document}
Usually, the cases environment is for this type of expressions
\documentclass{article}
\usepackage{amsmath}
\begin{document}
\[
\begin{cases}
x = 1 \\
y = 1
\end{cases}
\]
\end{document}
If you expect fractions and would like them to be typed in display style, use dcases instead
\documentclass{article}
\usepackage{mathtools}
\begin{document}
\[
\begin{dcases}
x = \frac{1}{2} \\
y = 1
\end{dcases}
\]
\end{document}
cases must be used with additional material at the right explaining each cases.
– projetmbc
Sep 08 '22 at 09:59