I can't seem to add limits in fractions. I tried \[ \frac{\lim_ {x \to a}[f(x)]} {{\lim_ {x \to a} [g(x)]}} \]
But it just doesn't want to do it. Can someone help me?
Thank you in advance.
I can't seem to add limits in fractions. I tried \[ \frac{\lim_ {x \to a}[f(x)]} {{\lim_ {x \to a} [g(x)]}} \]
But it just doesn't want to do it. Can someone help me?
Thank you in advance.
No problem with these codes:
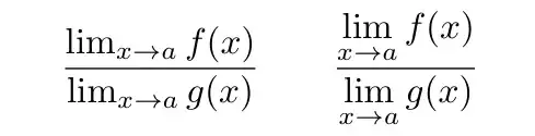
\documentclass{article}
\usepackage{mathtools}
\begin{document}
\[ \frac{\lim_ {x \to a}f(x)} {\lim_ {x \to a} g(x)}\qquad \frac{\lim\limits_ {x \to a}f(x)} {\lim\limits_ {x \to a} g(x)} \]
\end{document}