0

Here is for My LaTeX code for this diagram. I can't add newline for the text

\tikzstyle{arrow}=[draw, -latex] 
\begin{tikzpicture}

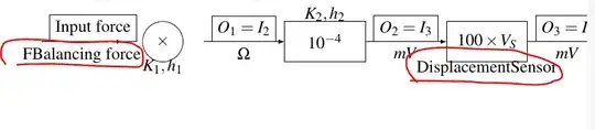
% first row of nodes \draw(1,0.5) circle(0.5) node[align = center, label=below:{$K_1, h_1$}] {$\times$}; \draw(4,0) rectangle (6,1) node[pos=0.5, label=above:{$K_2, h_2$}] {$10^{-4}$}; \draw(8,0) rectangle (10,1) node[pos=0.5, label=below:{Displacement \ Sensor}]{$100 \times V_S$}; \draw(12,0) rectangle (14,1) node[pos=.5, label=below:{$Amplifier$}] {$10^3$} ;

% lines for connecting nodes % The leftest arrow \draw[arrow] (1,1) (-2,0.5) -- (0,0.5) node [pos=0.1, draw, sloped, above right] {Input force} node [below, pos=0.5] {F \ Balancing force}; \draw[arrow] (1,1) (2,0.5) -- (4,0.5) node [pos=0.1, draw, sloped, above right] {$O_1 = I_2$} node [below, pos=0.5] {$\Omega$}; \draw[arrow] (1,1) (6,0.5) -- (8,0.5) node [pos=0.1, draw, sloped, above right] {$O_2 = I_3$} node [below, pos=0.5] {$mV$}; \draw[arrow] (1,1) (10,0.5) -- (12,0.5) node [pos=0.1, draw, sloped, above right] {$O_3 = I_4$} node [below, pos=0.5] {$mV$}; % The rightest arrow \draw[arrow] (1,1) (14,0.5) -- (16,0.5) node [pos=0.1, draw, sloped, above right] {$O_4 = O$} node [below, pos=0.5] {$Pa$};

\end{tikzpicture}

enter image description here

I want to display it in this way.

Displacement

Sensor

F

Balancing Sensor

kile
  • 655

2 Answers2

1

Here is a guess of what you are trying to do

\documentclass[tikz, border=1cm]{standalone}
\begin{document}
\begin{tikzpicture}
\draw(1,0.5) circle[radius=0.5] node[label={[below=0.8cm]:$K_1, h_1$}]{$\times$};
\draw(4,0) rectangle (6,1) node[pos=0.5, label={[above=0.3cm]:$K_2, h_2$}]{$10^{-4}$};
\draw(8,0) rectangle (10,1) node[pos=0.5, label={[align=left, below=0.8cm]:Displacement\\Sensor}]{$100\times V_S$};
\draw(12,0) rectangle (14,1) node[pos=0.5, label={[below=0.8cm]:$Amplifier$}]{$10^3$} ;
\draw[-latex] (-2,0.5) --node[above]{Input force} node[below, align=left]{F\\Balancing sensor} (0,0.5);
\draw[-latex] (2,0.5) --node[above]{$O_1=I_2$} node[below]{$\Omega$} (4,0.5);
\draw[-latex] (6,0.5) --node[above]{$O_2=I_3$} node[below]{$mV$} (8,0.5);
\draw[-latex] (10,0.5) --node[above]{$O_3=I_4$} node[below]{$mV$} (12,0.5);
\draw[-latex] (14,0.5) --node[above]{$O_4=O$} node[below]{$Pa$} (16,0.5);
\end{tikzpicture}
\end{document}

Horizontal commutative diagram

Normally one would never hardcode a diagram like this with coordinates, circles and rectangles. You could use e.g. tikzcd

0

Add align=center and some distance.

\draw(8,0)  rectangle (10,1) node[pos=0.5, label={[align=center,label distance=0.5cm] below:Displacement \\ Sensor}]{$100 \times V_S$};

\draw[arrow] (1,1) (-2,0.5) -- (0,0.5) node [pos=0.1, draw, sloped, above right] {Input force} node [below=0.5cm, pos=0.5, align=center] {F \ Balancing force};

Simon Dispa
  • 39,141