Not really an answer, but too long for a comment.
No, there is as far as I know no symbol for that, and there is no entry for a unary minus in the Unicode math tables. That is a bit strange, but maybe there was no real demand for it.
There was a ConTeXt user asking for the unary minus this summer. The simple implementation, to scale the minus sign (as in at least one of the answers in the question you link to in the comment) was used, and ended up in a macro \um. To get spacing right, we also added a new atom class, the unary operators.
Regarding accessibility and copying: Private unicode slots are used (there were in fact some more unary symbols added). The unary minus can nevertheless be copied from the pdf and pasted again, and then it will give the usual math minus (what else could one use?).
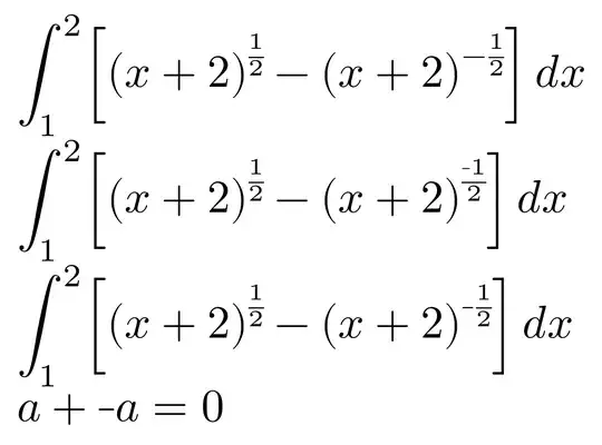
Below you see a few examples. As you see, the size of the minus is adapted to where it is used.
\setupbodyfont[modern]
\starttext
\startTEXpage[offset=1dk]
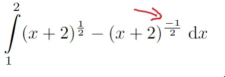
\dm{ \int_1^2 \left[(x+2)^{\frac{1}{2}} - (x+2)^{ -\frac{1}{2}}\right] \dd x }\par
\dm{ \int_1^2 \left[(x+2)^{\frac{1}{2}} - (x+2)^{\frac{\um1}{2}}\right] \dd x }\par
\dm{ \int_1^2 \left[(x+2)^{\frac{1}{2}} - (x+2)^{\um\frac{1}{2}}\right] \dd x }\par
\dm{ a + \um a = 0}
\stopTEXpage
\stoptext

^{-\frac{1}{2}}much better – Rmano Sep 25 '22 at 11:22-. I read 1 post about this https://tex.stackexchange.com/questions/79141/is-there-a-designated-symbol-for-the-negative-sign-in-say-16 but it seems it unusable forfrac{}{}or something like that – manh3 Sep 25 '22 at 11:27$a-b$is just shorthand for$a+-b$. – egreg Sep 25 '22 at 12:22