How to make division of polynomials with latex?
Asked
Active
Viewed 377 times
1 Answers
6
I wouldn't usually answer a question with no code/MWE but I have never used polynom before so thought I would answer for my own latex growth. The documentation is contained on CTAN and this is the code for all four default styles:
\documentclass[twocolumn]{article}
\usepackage{polynom}
\begin{document}
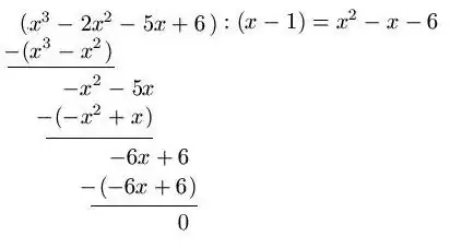
\polylongdiv{x^3 -2x^2 -5x + 6}{x - 1}
\bigskip
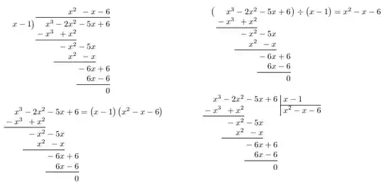
\polylongdiv[style=B]{x^3 -2x^2 -5x + 6}{x - 1}
\newpage
\polylongdiv[style=C]{x^3 -2x^2 -5x + 6}{x - 1}
\bigskip
\polylongdiv[style=D]{x^3 -2x^2 -5x + 6}{x - 1}
\end{document}
I am not sure how to get it into precisely your format but this is a start.
JamesT
- 3,169


style=Cwould place(x - 1)as divisor on the left side of the equation. – Jasper Habicht Oct 06 '22 at 08:50