Somewhat related to aligned in multlined produces superfluous space , there is superfluous space inside multline*, gather*, or align* if its contents contains aligned with at least two columns. Namely, feeding pdflatex with
\documentclass{article}
\pagestyle{empty}
\usepackage{mathtools}
\begin{document}
\begin{multline*}
(
\begin{aligned}[c]
&\text{an arbitrarily complex formula}
\end{aligned}
)
\end{multline*}
\end{document}
yields space between the contents of the aligned environment and the closing right paren:
An underfull \hbox is reported to the console.
Who is the culprit and what to do? In other words, where does this space come from and how to get rid of it in a different way than adding some hard-coded negative space (such as \mskip-19mu) manually? Of course, you may say
\documentclass{article}
\pagestyle{empty}
\usepackage{mathtools}
\begin{document}
\begin{multline*}
(
\begin{alignedat}[c]{1}
&\text{an arbitrarily complex formula}
\end{alignedat}
)
\end{multline*}
\end{document}
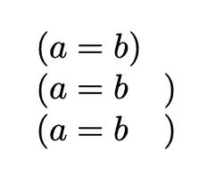
and get rid of the space:
Still, an underfull \hbox as well as the problem with the original align remain.




&\text{an arbitrarily complex formula}\\gets rid of the space but underfull box, still not right – David Carlisle Oct 14 '22 at 18:32